Đề thi tuyển sinh lớp 10 THPT chuyên Lê Quý Đôn tỉnh Bình Định năm học 2013 - 2014 môn Toán (Có đáp án)
Nhằm giúp các bạn chuẩn bị thật tốt kiến thức đề làm bài thi đạt hiệu quả cao, Vndoc.com xin giới thiệu: Đề thi tuyển sinh lớp 10 THPT chuyên Lê Quý Đôn tỉnh Bình Định năm học 2013 - 2014 môn Toán (Có đáp án).
Đề thi tuyển sinh lớp 10 môn Toán:
SỞ GIÁO DỤC VÀ ĐÀO TẠO
|
KỲ THI TUYỂN SINH VÀO LỚP 10
|
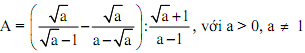
Câu I: (2,0 điểm)
Cho biểu thức: 
1. Rút gọn biểu thức A.
2. Tìm các giá trị của a để A < 0.
Câu II: (1,0 điểm)
Giải hệ phương trình:
Câu III: (2,0 điểm)
Một tổ sản xuất theo kế hoạch sẽ sản xuất 130 sản phẩm trong thời gian dự kiến. Nhờ tăng năng suất làm vượt định mức mỗi ngày 2 sản phẩm nên đã hoàn thành sớm hơn 2 ngày và còn làm thêm được 2 sản phẩm. Tính thời gian dự kiến hoàn thành công việc của tổ sản xuất trên.
Câu IV: (4,0 điểm)
Cho đường tròn (O). Từ điểm A nằm ngoài đường tròn (O) vẽ đường thẳng AO cắt đường tròn (O) tại B, C (AB < AC). Qua A vẽ đường thẳng không đi qua điểm O cắt đường tròn (O) tại D, E (AD < AE). Đường thẳng vuông góc với AB tại A cắt đường thẳng CE tại F.
1. Chứng minh tứ giác ABEF nội tiếp đường tròn.
2. Gọi M là giao điểm thứ hai của FB với đường tròn (O). Chứng minh DM vuông góc với AC.
3. Chứng minh: CE.CF + AD.AE = AC2.
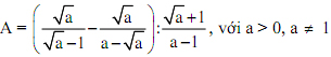
Câu V: (1,0 điểm)
So sánh giá trị của A và B với:![]()