Đề thi tuyển sinh lớp 10 THPT chuyên Quốc Học Huế năm học 2013 - 2014 môn Toán
Nhằm giúp các bạn chuẩn bị thật tốt kiến thức đề làm bài thi đạt hiệu quả cao, Vndoc.com xin giới thiệu: Đề thi tuyển sinh lớp 10 THPT chuyên Quốc Học Huế năm học 2013 - 2014 môn Toán.
Đề thi tuyển sinh lớp 10 môn Toán:
KỲ THI TUYỂN SINH VÀO LỚP 10 THPT CHUYÊN QUỐC HỌC HUẾ
NĂM HỌC 2013 - 2014
MÔN THI: TOÁN
Thời gian làm bài: 120 phút (không kể thời gian giao đề)
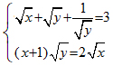
Bài 1: (1.5 điểm)
Giải hệ phương trình: 
Bài 2: (1.5 điểm)
Cho phương trình x4 + (1 − m)x2 + 2m − 2 = 0 (m là tham số)
1. Tìm các giá trị của m để phương trình có 4 nghiệm phân biệt.
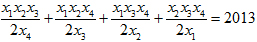
2.Trong trường hợp pt có 4 nghiệm phân biệt là x1, x2, x3, x4, hãy tìm các giá trị của m sao cho:![]()
Bài 3: (1.5 điểm)
1. Cho x, y, z là các số thực dương thỏa mãn điều kiện:
. Tính giá trị của biểu thức:![]()
2. Cho số tự nhiên có 2 chữ số. Khi chia số đó cho tổng các chữ số của nó được thương là q dư r. Nếu đổi chỗ 2 chữ số của số đó cho tổng các chữ số của nó được thương 4q dư r. Tìm số đã cho.
Bài 4: (3 điểm)
1. Cho đường tròn (O) đường kính BC. Lấy điểm A trên đường tròn sao cho AB > AC (A khác C). Vẽ hình vuông ABDE (D và E cùng nằm trên nửa mp bờ AB không chứa C). Gọi F là giao điểm thứ 2 của AD với đường tròn và K là giao điểm của CF với DE. Chứng minh KB là tiếp tuyến của đường tròn (O).
2. Cho tam giác ABC có BC = a, CA = b, AB = c. Gọi I là tâm đường tròn nội tiếp tam giác ABC. Đường thẳng vuông góc với CI tại I cắt CA, CB theo thứ tự tại M, N. Chứng minh:
a) AM.BN = IM2 = IN2.
b) ![]()
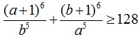
Bài 5: (2 điểm)
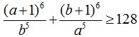
1. Cho 2 số dương a và b thỏa mãn điều kiện a + b ≤ 2. Chứng minh:
2. Tìm số tự nhiên có 3 chữ số n = 100a + 10b + c sao cho biểu thức
đạt giá trị nhỏ nhất.