Đề thi tuyển sinh lớp 10 THPT chuyên tỉnh Bến Tre năm 2012 - 2013
Vndoc.com xin giới thiệu đến các bạn lớp 9, chuẩn bị thi lên lớp 10: Đề thi tuyển sinh lớp 10 THPT chuyên tỉnh Bến Tre năm 2012 - 2013.
Đề thi tuyển sinh vào lớp 10 tỉnh Bến Tre:
SỞ GIÁO DỤC & ĐÀO TẠO
|
ĐỀ THI TUYỂN SINH LỚP 10 THPT CHUYÊN BẾN TRE
|
ĐỀ THI MÔN: TOÁN
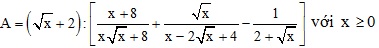
Bài 1: (3 điểm)
Cho biểu thức: ![]()
1/ Rút gọn biểu thức A.
2/ Đặt
. Tìm x để biểu thức B đạt giá trị nhỏ nhất
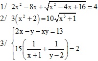
Bài 2:
Giải các phương trình và hệ phương trình sau:
Bài 3:
1/ Xác định tất cả các giá trị của m để phương trình x2 - 2x + 2m - 5 = 0 có hai nghiệm phân biệt x1; x2. Với giá trị nào của m thì hai nghiệm x1; x2 thỏa điều kiện (x1 - mx2)(x2 - mx1) = -10
2/ Cho ba số thực dương a, b, c. Chứng minh rằng:![]()
Bài 4:
Cho tam giác ABC nhọn, vẽ đường cao AH. Gọi E, F lần lượt là hình chiếu của H lên hai cạnh AB, AC. Đường thẳng qua A vuông góc với EF cắt cạnh BC tại D.
1/ Chứng minh đường thẳng AD đi qua tâm đường tròn ngoại tiếp của tam giác ABC.
2/ Gọi I, K lần lượt là hình chiếu của D lên hai cạnh AB, AC. Chứng minh tam giác DIK đồng dạng với tam giác HEF.
3/ Chứng minh: ![]()