Đề thi tuyển sinh lớp 10 THPT Chuyên tỉnh Kiên Giang năm 2012 - 2013 môn Toán - Có đáp án
Vndoc.com xin giới thiệu đến các bạn lớp 9, chuẩn bị thi lên lớp 10: Đề thi tuyển sinh lớp 10 THPT Chuyên tỉnh Kiên Giang năm 2012 - 2013 môn Toán - Có đáp án.
Đề thi tuyển sinh lớp 10 môn Toán:
SỞ GIÁO DỤC VÀ ĐÀO TẠO
|
ĐỀ THI TUYỂN SINH VÀO LỚP 10 THPT CHUYÊN
|
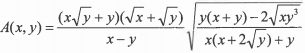
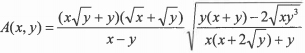
Bài 1: (5 điểm)
Cho biểu thức: 
1. Tìm điều kiện của x, y để A(x, y) có nghĩa.
2. Chứng minh rằng biểu thức A(x, y) không phụ thuộc vào x.
Bài 2: (1,5 điểm)
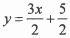
Cho đường thẳng (D): ![]()
1. Viết phương trình đường thẳng (d) đi qua A(-3, 5) và (d) song song với đường thẳng (D).
2. Đường thẳng (d) cắt 2 trục tọa độ Ox, Oy lần lượt tại B, C. Tìm các điểm có tọa độ nguyên thuộc đoạn thẳng BC.
Bài 3: (1 điểm)
Giải phương trình sau: ![]()
Bài 4: (2 điểm)
Cho phương trình: x2 - 2(m - 1)x + 3m2 + 2m + 1 = 0 (*).
Định m để (*) có 2 nghiệm phân biệt x1, x2 sao cho A = x12 + x22 - x1x2 đạt giá trị lớn nhất. Tính giá trị lớn nhất này.
Bài 5: (1 điểm)
Cho tam giác ABC vuông tại A, vẽ đường cao AH. Chu vi của tam giác ABH bằng 30cm, chu vi của tam giác ACH bằng 40cm. Tính chu vi tam giác ABC.
Bài 6: (3 điểm)
Từ điểm A ở ngoài đường tròn (O) vẽ tiếp tuyến AB, AE và cát tuyến ACD không đi qua tâm O đến đường tròn (O), ở đây B, E là các tiếp điểm và C nằm giữa A, D.
a. Chứng minh AB2 = AC.AD
b. Gọi H là giao điểm của BE và AO. Chứng minh tứ giác CHOD nội tiếp được đường tròn.
c. Chứng minh: HB là phân giác của góc CHD.