Đề thi tuyển sinh lớp 10 THPT chuyên tỉnh Phú Yên năm học 2011 - 2012 môn Toán - Có đáp án
Để chuẩn bị cho kỳ thi vào cấp 3 sắp tới, Vndoc.com xin gửi đến các bạn: Đề thi tuyển sinh lớp 10 THPT chuyên tỉnh Phú Yên năm học 2011 - 2012 môn Toán - Có đáp án.
Đề thi tuyển sinh lớp 10 môn Toán:
SỞ GIÁO DỤC VÀ ĐÀO TẠO
|
KỲ THI TUYỂN SINH LỚP 10 THPT NĂM HỌC 2011-2012
|
Câu 1. (3,0 điểm)
a) Rút gọn biểu thức:
.
b) Cho
. Tính Q = x3 + 12x + 2009.
Câu 2. (3,5 điểm)
Cho phương trình a(a+3)x2 - 2x - (a+1)(a+2) = 0 (a là tham số, nguyên).
a) Chứng minh rằng phương trình luôn có nghiệm hữu tỷ.
b) Xác định a để phương trình có các nghiệm đều nguyên.
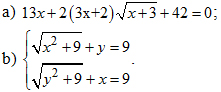
Câu 3. (5,0 điểm)
Giải phương trình và hệ phương trình sau:
Câu 4. (2,5 điểm)
a) Chứng minh rằng với mọi x, y > 0: ![]()
b) Cho 3 số dương a,b,c với abc = 1. Tìm giá trị lớn nhất của biểu thức:![]()
Câu 5. (2,5 điểm)
Cho tam giác ABC thỏa mãn AB.AC = BC(AB+AC), có G là trọng tâm và BD, CE là các đường phân giác trong. Chứng minh rằng 3 điểm D, E, G thẳng hàng.
Câu 6. (3,5 điểm)
Cho tam giác ABC cân tại A nội tiếp đường tròn tâm O. Một điểm D di động trên cung nhỏ AC. Trên tia đối của tia DB lấy điểm E sao cho DE = DC. Tìm tập hợp các trung điểm M của đoạn thẳng BE khi D di chuyển trên cung nhỏ AC