Đề thi tuyển sinh lớp 10 THPT chuyên tỉnh Phú Yên năm học 2012 - 2013 môn Toán - Có đáp án
Vndoc.com xin giới thiệu đến các bạn lớp 9, chuẩn bị thi lên lớp 10: Đề thi tuyển sinh lớp 10 THPT chuyên tỉnh Phú Yên năm học 2012 - 2013 môn Toán - Có đáp án.
Đề thi tuyển sinh lớp 10 môn Toán:
SỞ GIÁO DỤC VÀ ĐÀO TẠO
|
KỲ THI TUYỂN SINH LỚP 10 THPT NĂM HỌC 2012-2013
|
Câu 1. (5,0 điểm)
Cho biểu thức 
a) Tìm điều kiện xác định của biểu thức P.
b) Với điều kiện vừa tìm, rút gọn biểu thức P .
c) Tìm các số nguyên x để P có giá trị nguyên.
Câu 2. (3,0 điểm)
a) Cho x, y, z là 3 số thực thỏa: x + y + z = 0. Chứng minh rằng x3 + y3 + z3 = 3xyz.
b) Giải phương trình: (1005 - x)3 + (1007 - x)3 + 2x(2x - 2012)3 = 0
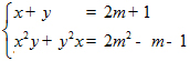
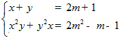
Câu 3. (5,0 điểm)
Cho hệ phương trình:
, với m là tham số.
a) Giải hệ phương trình với m =2.
b) Chứng minh rằng hệ luôn có nghiệm với mọi m.
Câu 4. (4,0 điểm)
Cho tam giác đều ABC cạnh a. Trên các cạnh AB, BC, CA lần lượt lấy các điểm D, E, F sao cho D không trùng với A, B và góc EDF = 60o.
a) Chứng minh rằng AF.BE = AD.DB.
b) Chứng minh
. Điểm D ở vị trí nào thì dấu đẳng thức xảy ra?
Câu 5. (3,0 điểm)
Cho đường tròn (O;R), đường kính AB. Gọi C là trung điểm của OB, O’ là tâm đường tròn đường kính AC. Đường thẳng d qua A cắt đường tròn (O) tại D (D # A) và cắt đường tròn (O’) tại K (K # A). BK cắt CD tại H.
a) Tính tỷ số
.
b) Khi d quay quanh A, điểm H chạy trên đường nào?