Đề thi tuyển sinh lớp 10 THPT chuyên tỉnh Quảng Nam năm 2012 - 2013
Để chuẩn bị cho kì thi vào cấp 3 sắp tới, Vndoc xin giới thiệu đến các bạn: Đề thi tuyển sinh lớp 10 THPT chuyên tỉnh Quảng Nam năm 2012 - 2013.
Đề thi tuyển sinh lớp 10 môn Toán trường chuyên tỉnh Quảng Nam:
SỞ GIÁO DỤC VÀ ĐÀO TẠO
|
KỲ THI TUYỂN SINH LỚP 10 THPT CHUYÊN
|
Môn: TOÁN (Chuyên Toán)
Thời gian làm bài: 150 phút (không kể thời gian giao đề)
Câu 1: (1,5 điểm)
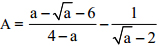
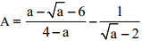
a) Rút gọn biểu thức:
(với a ≥ 0 và a ≠ 4).
b) Cho
. Tính giá trị của biểu thức: P = (x2 + 2x - 1)2012
Câu 2: (2,0 điểm)
a) Giải phương trình: ![]()
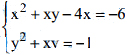
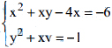
b) Giải hệ phương trình: 
Câu 3: (1,5 điểm)
Cho parabol (P): y = − x2 và đường thẳng (d): y = (3 − m)x + 2 − 2m (m là tham số).
a) Chứng minh rằng với m ≠ −1 thì (d) luôn cắt (P) tại 2 điểm phân biệt A, B.
b) Gọi yA, yB lần lượt là tung độ các điểm A, B. Tìm m để |yA − yB| = 2.
Câu 4: (4,0 điểm)
Cho hình chữ nhật ABCD có AB = 4 cm, AD = 2 cm. Đường thẳng vuông góc với AC tại C cắt các đường thẳng AB và AD lần lượt tại E và F.
a) Chứng minh tứ giác EBDF nội tiếp trong đường tròn.
b) Gọi I là giao điểm của các đường thẳng BD và EF. Tính độ dài đoạn thẳng ID
c) M là điểm thay đổi trên cạnh AB (M khác A, M khác B), đường thẳng CM cắt đường thẳng AD tại N. Gọi S1 là diện tích tam giác CME, S2 là diện tích tam giác AMN. Xác định vị trí điểm M để
Câu 5: (1,0 điểm)
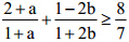
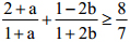
Cho a, b là hai số thực không âm thỏa: a + b ≤ 2.
Chứng minh: ![]()