Đề thi tuyển sinh lớp 10 THPT Nguyễn Du tỉnh Đăk Lăk năm học 2013 - 2014 môn Toán (Có đáp án)
Nhằm giúp các bạn chuẩn bị thật tốt kiến thức đề làm bài thi đạt hiệu quả cao, Vndoc.com xin giới thiệu: Đề thi tuyển sinh lớp 10 THPT Nguyễn Du tỉnh Đăk Lăk năm học 2013 - 2014 môn Toán (Có đáp án).
Đề thi tuyển sinh lớp 10 môn Toán:
SỞ GIÁO DỤC VÀ ĐÀO TẠO
|
KỲ THI TUYỂN SINH VÀO LỚP 10 THPT
|
Câu 1: (3,0 điểm)
1) Giải phương trình: (x2 - 2x - 3)(x2 + 10x + 21) = 25
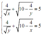
2) Giải hệ phương trình: 
Câu 2: (4,0 điểm)
1) Tìm số tự nhiên n lớn nhất sao cho 2015 viết được dưới dạng: 2015 = a1 + a2 + ... + an, với các số a1, a2, ..., an đều là hợp số.
2) Tìm số dư khi chia 20122013 + 20152014 cho 11
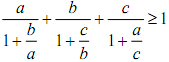
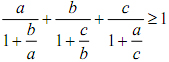
3) Cho a, b, c là những số dương thỏa mãn đẳng thức: ![]()
Chứng minh rằng: 
Câu 3: (1,5 điểm)
Cho nửa đường tròn (O) đường kính AB. Gọi C là điểm chính giữa cung AB, M là một điểm bất kỳ trên cung AC. Tia phân giác của góc COM cắt BM tại điểm D. Chứng minh rằng khi điểm M di động trên cung AC thì điểm D thuộc một đường tròn cố định.
Câu 4: (1,5 điểm)
Cho tam giác đều ABC. Lấy điểm P tùy ý trong tam giác ABC. Từ điểm P hạ PD, PE, PF lần lượt vuông góc tới các cạnh BC, CA, AB. Tính tỉ số
.