Đề thi tuyển sinh lớp 10 THPT tỉnh An Giang năm học 2013 - 2014 môn Toán
Vndoc.com xin giới thiệu đến các bạn lớp 9, chuẩn bị thi lên lớp 10: Đề thi tuyển sinh lớp 10 THPT tỉnh An Giang năm học 2013 - 2014 môn Toán.
Đề thi tuyển sinh lớp 10 môn Toán:
SỞ GIÁO DỤC VÀ ĐÀO TẠO
|
KỲ THI TUYỂN SINH THPT VÀO LỚP 10
|
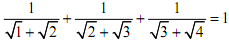
Câu 1. (2,0 điểm)
a) Chứng minh rằng: ![]()
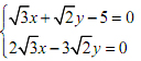
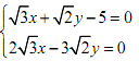
b) Giải hệ phương trình: 
Câu 2. (2,0 điểm)
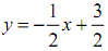
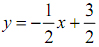
Cho hai hàm số: y = x2 và ![]()
a) Vẽ đồ thị của hai hàm số trên cùng một hệ trục tọa độ.
b) Tìm tọa độ giao điểm của hai đồ thị hàm số đã cho.
Câu 3. (2,0 điểm)
Cho phương trình: x2 + (1 - y)x + 4 - y = 0 (*)
a) Tìm y sao cho phương trình (*) ẩn x có một nghiệm kép.
b) Tìm cặp số (x; y) dương thỏa phương trình (*) sao cho y nhỏ nhất.
Câu 4. (4,0 điểm)
Cho tam giác ABC vuông cân tại A, D là trung điểm của AC, vẽ đường tròn (O) đường kính CD cắt BC tại E, BD cắt đường tròn (O) tại F.
a) Chứng minh rằng: ABCF là tứ giác nội tiếp.
b) Chứng minh rằng góc AFB = góc ACB và tam giác DEC cân.
c) Kéo dài AF cắt đường tròn (O) tại H. Chứng minh CEDH là hình vuông.
Chú ý:
- Nếu PC của bạn không đọc được file PDF, hãy tải phần mềm Foxit Reader để cài đặt
- Bạn sử dụng iPhone, iPad,... chạy hệ điều hành iOS có thể tải Foxit Mobile PDF Lite for iOS
- Bạn sử dụng điện thoại hệ điều hành Android thì tải phần mềm Adobe Reader for Android, MultiReader (Android) 0.8.4, eLibris eReader for Android