Đề thi tuyển sinh lớp 10 THPT tỉnh Bạc Liêu năm học 2011 - 2012 môn Toán (Chuyên) - Có đáp án
Để chuẩn bị cho kỳ thi vào cấp 3 sắp tới, Vndoc.com xin gửi đến các bạn: Đề thi tuyển sinh lớp 10 THPT tỉnh Bạc Liêu năm học 2011 - 2012 môn Toán (Chuyên) - Có đáp án.
Đề thi tuyển sinh lớp 10 môn Toán (Chuyên):
SỞ GIÁO DỤC VÀ ĐÀO TẠO
|
KỲ THI TUYỂN SINH LỚP 10 THPT
|
MÔN THI: TOÁN (Chuyên)
Ngày thi: 07/07/2011
Thời gian làm bài 120 phút: (không kể thời gian giao đề)
--------------------------------------------------------------------------------
Câu 1 (2,0 điểm).
Chứng minh số n = 2000042 + 2000032 + 2000022 - 2000012 không phải là số chính phương.
Câu 2 (2,0 điểm).
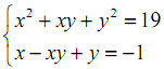
Giải hệphương trình: 
Câu 3 (2,0 điểm).
Cho phương trình: x2 - (2m + 3)x + m = 0 (m là tham số).
a. Chứng minh rằng phương trình luôn có hai nghiệm với mọi m.
b. Gọi x1, x2 là các nghiệm của phương trình. Tìm giá trị của m để biểu thức T = x12 + x22 có giá trị nhỏ nhất.
Câu 4 (2,0 điểm).
Cho tam giác ABC đều, nội tiếp trong đường tròn (O). Trên cung nhỏ BC lấy điểm M. Trên tia MA lấy điểm D sao cho MD = MB.
a. Chứng minh rằng tam giác MBD đều.
b. Chứng minh rằng MA = MB + MC.
Câu 5 (2,0 điểm).
Cho đường tròn (O;R) trên đó có ba điểm A, B, C phân biệt. Gọi H là trực tâm tam giác ABC. Tam giác ABC phải có điều kiện gì để AH+ BC là lớn nhất? Tính giá trị lớn nhất đó theo R.