Đề thi tuyển sinh lớp 10 THPT tỉnh Bạc Liêu năm học 2012 - 2013 môn Toán (Chuyên NV2) - Có đáp án
Vndoc.com xin giới thiệu đến các bạn lớp 9, chuẩn bị thi lên lớp 10: Đề thi tuyển sinh lớp 10 THPT tỉnh Bạc Liêu năm học 2012 - 2013 môn Toán (Chuyên NV2) - Có đáp án.
Đề thi tuyển sinh lớp 10 môn Toán (Chuyên NV2):
SỞ GIÁO DỤC VÀ ĐÀO TẠO
|
KỲ THI TUYỂN SINH LỚP 10 THPT
|
MÔN THI: TOÁN (Chuyên - NV2)
Ngày thi: 07/07/2012
(Thời gian làm bài 150 phút không kể thời gian giao đề)
--------------------------------------------------------------------------------
Câu 1: (2 điểm)
Chứng minh: S = 13 + 23 + 33 + .. + 503 chia hết cho 1275
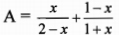
Câu 2: (2 điểm)
Cho số thực x thỏa mãn điều kiện 0 ≤ x ≤ 1. Tìm giá trị lớn nhất của biểu thức ![]()
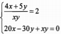
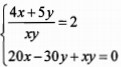
Câu 3: (2 điểm)
Giải hệ phương trình: 
Câu 4: (2 điểm)
Cho đường tròn (O) nội tiếp tam giác ABC. Trên cạnh AB và AC lần lượt lấy các điểm M và N sao cho BM.BC = BO2; CN.CB = CO2.
a. Chứng minh rằng 3 điểm M, O, N thẳng hàng
b. Tam giác ABC phải có điều kiện gì thì bốn điểm M, N, B, C cùng nằm trên một đường tròn.
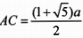
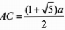
Câu 5: (2 điểm)
Cho ngũ giác đều ABCDE biết AB = a. Chứng minh rằng: ![]()