Đề thi tuyển sinh lớp 10 THPT tỉnh Bạc Liêu năm học 2012 - 2013 môn Toán (Không chuyên) - Có đáp án
Để chuẩn bị cho kỳ thi vào cấp 3 sắp tới, Vndoc.com xin gửi đến các bạn: Đề thi tuyển sinh lớp 10 THPT tỉnh Bạc Liêu năm học 2012 - 2013 môn Toán (Không chuyên) - Có đáp án.
Đề thi tuyển sinh lớp 10 môn Toán (Không chuyên):
SỞ GIÁO DỤC VÀ ĐÀO TẠO
|
KỲ THI TUYỂN SINH LỚP 10 THPT
|
MÔN THI: TOÁN (Không chuyên)
Ngày thi: 06/07/2012
(Thời gian làm bài 120 phút không kể thời gian giao đề)
--------------------------------------------------------------------------------
Câu 1: (2 điểm)
1. Tính giá trị của biểu thức: ![]()
2. Rút gọn biểu thức: ![]()
Câu 2: (2 điểm)
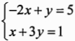
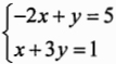
a) Giải hệ phương trình: 
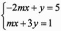
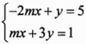
b) Tìm m để hệ phương trình
vô nghiệm
Câu 3: (3 điểm)
Cho phương trình 2x2 - 6x + m = 0 (1), với m là tham số
a) Giải phương trình (1) với m = 4.
b) Với giá trị nào của m thì phương trình (1) có hai nghiệm phân biệt.
c) Tìm m để phương trình (1) có hai nghiệm x1, x2 thỏa mãn điều kiện: 8x12x22 - 12x1x2 - 16 = x12 + x22
Câu 4: (3 điểm)
Cho nửa đường tròn tâm O, đường kính AB. Vẽ các tiếp tuyến Ax, By với nửa đường tròn. Gọi M là điểm chính giữa của cung AB và N là một điểm bất kì thuộc đoạn OA. Đường thẳng vuông góc với MN tại M lần lượt cắt Ax ở D và By ở C.
a) Chứng minh: góc AMN = góc BMC
b) Chứng minh: ΔANM = ΔBCM
c) DN cắt AM ở E và CN cắt MB ở F. Chứng minh EF vuông góc Ax