Giao diện mới của VnDoc Pro: Dễ sử dụng hơn - chỉ tập trung vào lớp bạn quan tâm. Vui lòng chọn lớp mà bạn quan tâm: Lưu và trải nghiệm
Đóng
Điểm danh hàng ngày
  • Hôm nay +3
  • Ngày 2 +3
  • Ngày 3 +3
  • Ngày 4 +3
  • Ngày 5 +3
  • Ngày 6 +3
  • Ngày 7 +5
Bạn đã điểm danh Hôm nay và nhận 3 điểm!
Nhắn tin Zalo VNDOC để nhận tư vấn mua gói Thành viên hoặc tải tài liệu Hotline hỗ trợ: 0936 120 169

Đề thi tuyển sinh lớp 10 THPT tỉnh Bình Định năm học 2012 - 2013 môn Toán (Có đáp án)

Lớp: Lớp 10
Loại File: Word
Phân loại: Tài liệu Tính phí

Nhằm giúp các bạn chuẩn bị thật tốt kiến thức để làm bài thi đạt hiệu quả cao, Vndoc.com xin giới thiệu: Đề thi tuyển sinh lớp 10 THPT tỉnh Bình Định năm học 2012 - 2013 môn Toán (Có đáp án).

Đề thi tuyển sinh lớp 10 môn Toán:

SỞ GIÁO DỤC VÀ ĐÀO TẠO
BÌNH ĐỊNH

ĐỀ THI CHÍNH THỨC

KỲ THI TUYỂN SINH VÀO LỚP 10 THPT
NĂM HỌC 2012 - 2013

MÔN THI: TOÁN
Ngày thi: 30/06/2012
Thời gian làm bài: 120 phút (không kể thời gian giao đề)

Bài 1: (3,0 điểm)

Học sinh không sử dụng máy tính bỏ túi

a) Giải phương trình: 2x – 5 = 0

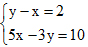
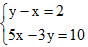
b) Giải hệ phương trình: Đề thi tuyển sinh lớp 10 THPT tỉnh Bình Định năm học 2012 - 2013 môn Toán

c) Rút gọn biểu thức Đề thi tuyển sinh lớp 10 THPT tỉnh Bình Định năm học 2012 - 2013 môn Toán

d) Tính giá trị của biểu thức Đề thi tuyển sinh lớp 10 THPT tỉnh Bình Định năm học 2012 - 2013 môn Toán

Bài 2: (2,0 điểm)

Cho parabol (P) và đường thẳng (d) có phương trình lần lượt là y = mx2 và y = (m - 2)x + m - 1 (m là tham số, m # 0).

a) Với m = –1, tìm tọa độ giao điểm của (d) và (P).

b) Chứng minh rằng với mọi m # 0 đường thẳng (d) luôn cắt parabol (P) tại hai điểm phân biệt.

Bài 3: (2,0 điểm)

Quãng đường từ Quy Nhơn đến Bồng Sơn dài 100 km. Cùng một lúc, một xe máy khởi hành từ Quy Nhơn đi Bồng Sơn và một xe ô tô khởi hành từ Bồng Sơn đi Quy Nhơn. Sau khi hai xe gặp nhau, xe máy đi 1 giờ 30 phút nữa mới đến Bồng Sơn. Biết vận tốc hai xe không thay đổi trên suốt quãng đường đi và vận tốc của xe máy kém vận tốc xe ô tô là 20 km/h. Tính vận tốc mỗi xe.

Bài 4: (3,0 điểm)

Cho đường tròn tâm O đường kính AB = 2R. Gọi C là trung điểm của OA, qua C kẻ dây MN vuông góc với OA tại C. Gọi K là điểm tùy ý trên cung nhỏ BM, H là giao điểm của AK và MN.

a) Chứng minh tứ giác BCHK là tứ giác nội tiếp.

b) Chứng minh AK.AH = R2

c) Trên KN lấy điểm I sao cho KI = KM, chứng minh NI = KB.

Chọn file muốn tải về:
Đóng Chỉ thành viên VnDoc PRO/PROPLUS tải được nội dung này!
Đóng
79.000 / tháng
Đặc quyền các gói Thành viên
PRO
Phổ biến nhất
PRO+
Tải tài liệu Cao cấp 1 Lớp
30 lượt tải tài liệu
Xem nội dung bài viết
Trải nghiệm Không quảng cáo
Làm bài trắc nghiệm không giới hạn
Mua cả năm Tiết kiệm tới 48%
17

Có thể bạn quan tâm

Xác thực tài khoản!

Theo Nghị định 147/2024/ND-CP, bạn cần xác thực tài khoản trước khi sử dụng tính năng này. Chúng tôi sẽ gửi mã xác thực qua SMS hoặc Zalo tới số điện thoại mà bạn nhập dưới đây:

Số điện thoại chưa đúng định dạng!
Số điện thoại này đã được xác thực!
Bạn có thể dùng Sđt này đăng nhập tại đây!
Lỗi gửi SMS, liên hệ Admin
Sắp xếp theo
🖼️

Lớp 10

Xem thêm
🖼️

Gợi ý cho bạn

Xem thêm