Giao diện mới của VnDoc Pro: Dễ sử dụng hơn - chỉ tập trung vào lớp bạn quan tâm. Vui lòng chọn lớp mà bạn quan tâm: Lưu và trải nghiệm
Đóng
Điểm danh hàng ngày
  • Hôm nay +3
  • Ngày 2 +3
  • Ngày 3 +3
  • Ngày 4 +3
  • Ngày 5 +3
  • Ngày 6 +3
  • Ngày 7 +5
Bạn đã điểm danh Hôm nay và nhận 3 điểm!
Nhắn tin Zalo VNDOC để nhận tư vấn mua gói Thành viên hoặc tải tài liệu Hotline hỗ trợ: 0936 120 169

Đề thi tuyển sinh lớp 10 THPT tỉnh Bình Dương năm học 2012 - 2013 môn Toán (Có đáp án)

Lớp: Lớp 10
Loại File: Word
Phân loại: Tài liệu Tính phí

Vndoc.com xin giới thiệu đến các bạn lớp 9, chuẩn bị thi lên lớp 10: Đề thi tuyển sinh lớp 10 THPT tỉnh Bình Dương năm học 2012 - 2013 môn Toán (Có đáp án).

Đề thi tuyển sinh lớp 10 môn Toán:

SỞ GIÁO DỤC VÀ ĐÀO TẠO
BÌNH DƯƠNG

ĐỀ THI CHÍNH THỨC

KỲ THI TUYỂN SINH VÀO LỚP 10 THPT
NĂM HỌC 2012 - 2013

MÔN THI: TOÁN
Thời gian làm bài: 120 phút (không kể thời gian giao đề)

Bài 1 (1 điểm):

Cho biểu thức: Đề thi tuyển sinh lớp 10 THPT tỉnh Bình Dương năm học 2012 - 2013 môn Toán

1/ Rút gọn biểu thức A

2/ Tính giá trị của x khi A = 1

Bài 2 (1,5 điểm):

1/ Vẽ đồ thị (P) hàm số y = x2/2

2/ Xác định m để đường thẳng (d): y = x – m cắt (P) tại điểm A có hoành độ bằng 1. Tìm tung độ của điểm A

Bài 3 (2 điểm):

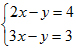
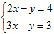
1/ Giải hệ phương trình: Đề thi tuyển sinh lớp 10 THPT tỉnh Bình Dương năm học 2012 - 2013 môn Toán

2/ Giải phương trình: x4 + x2 – 6 = 0

Bài 4 (2 điểm):

Cho phương trình x2 – 2mx – 2m – 5 = 0 (m là tham số)

1/ Chứng minh rằng phương trình luôn có hai nghiệm phân biệt với mọi giá trị của m

2/ Tìm m để |x1 - x2| đạt giá trị nhỏ nhất (x1; x2 là hai nghiệm của phương trình)

Bài 5 (3,5 điểm):

Cho đường tròn (O) và điểm M ở ngoài đường tròn. Qua M kẻ các tiếp tuyến MA, MB và cát tuyến MPQ (MP < MQ). Gọi I là trung điểm của dây PQ, E là giao điểm thứ 2 giữa đường thẳng BI và đường tròn (O). Chứng minh:

1/ Tứ giác BOIM nội tiếp. Xác định tâm của đường tròn ngoại tiếp tứ giác đó

2/ Góc BOM = góc BEA

3/ AE // PQ

4/ Ba điểm O; I; K thẳng hàng, với K là trung điểm của EA.

Chọn file muốn tải về:
Đóng Chỉ thành viên VnDoc PRO/PROPLUS tải được nội dung này!
Đóng
79.000 / tháng
Đặc quyền các gói Thành viên
PRO
Phổ biến nhất
PRO+
Tải tài liệu Cao cấp 1 Lớp
30 lượt tải tài liệu
Xem nội dung bài viết
Trải nghiệm Không quảng cáo
Làm bài trắc nghiệm không giới hạn
Mua cả năm Tiết kiệm tới 48%
22

Có thể bạn quan tâm

Xác thực tài khoản!

Theo Nghị định 147/2024/ND-CP, bạn cần xác thực tài khoản trước khi sử dụng tính năng này. Chúng tôi sẽ gửi mã xác thực qua SMS hoặc Zalo tới số điện thoại mà bạn nhập dưới đây:

Số điện thoại chưa đúng định dạng!
Số điện thoại này đã được xác thực!
Bạn có thể dùng Sđt này đăng nhập tại đây!
Lỗi gửi SMS, liên hệ Admin
Sắp xếp theo
🖼️

Lớp 10

Xem thêm
🖼️

Gợi ý cho bạn

Xem thêm