Đề thi tuyển sinh lớp 10 THPT tỉnh Bình Dương năm học 2013 - 2014 môn Toán (Có đáp án)
Để chuẩn bị cho kỳ thi vào cấp 3 sắp tới, Vndoc.com xin gửi đến các bạn: Đề thi tuyển sinh lớp 10 THPT tỉnh Bình Dương năm học 2013 - 2014 môn Toán (Có đáp án).
Đề thi tuyển sinh lớp 10 môn Toán:
SỞ GIÁO DỤC VÀ ĐÀO TẠO
|
KÌ THI TUYỂN SINH LỚP 10 THPT
|
Bài 1. (1 điểm)
Cho biểu thức ![]()
1/ Rút gọn biểu thức A
2/ Tính giá trị của A khi x = √3
Bài 2. (1,5 điểm)
Cho hai hàm số bậc nhất y = x – m và y = -2x + m – 1
1/ Với giá trị nào của m thì đồ thị của các hàm số trên cắt nhau tại một điểm thuộc trục hoành.
2/ Với m = -1, Vẽ đồ thị các hàm số trên cùng mặt phẳng tọa độ Oxy
Bài 3. (2 điểm)
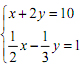
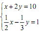
1/ Giải hệ phương trình 
2/ Giải phương trình: x - 2√x= 6 - 3√x
Bài 4. (2 điểm)
1/ Tìm giá trị m trong phương trình bậc hai x2 – 12x + m = 0, biết rằng phương trình có hiệu hai nghiệm bằng 2√5
2/ Có 70 cây được trồng thành các hàng đều nhau trong một miếng đất. Nếu bớt đi 2 hàng thi mỗi hàng còn lại phải trồng thêm 4 cây mới hết số cây đã có. Hỏi lúc đầu có bao nhiêu hàng cây?
Bài 5. (2 điểm)
Cho đường tròn (O) đường kính AB, trên tia OA lấy điểm C sao cho AC = AO. Từ C kẻ tiếp tuyến CD với (O) (D là tiếp điểm)
1/ Chứng minh tam giác ADO là tam giác đều
2/ Kẻ tia Ax song song với CD, cắt DB tại I và cắt đường tròn (O) tại E. Chứng minh tam giác AIB là tam giác cân.
3/ Chứng minh tứ giác ADIO là tứ giác nội tiếp
4/ Chứng minh OE vuông góc DB.