Đề thi tuyển sinh lớp 10 THPT tỉnh Đăk Nông năm 2010 - 2011 môn Toán (chuyên) - Có đáp án
Để chuẩn bị cho kỳ thi vào cấp 3 sắp tới, Vndoc.com xin gửi đến các bạn: Đề thi tuyển sinh lớp 10 THPT tỉnh Đăk Nông năm 2010 - 2011 môn Toán (chuyên) - Có đáp án.
Đề thi tuyển sinh lớp 10 môn Toán (chuyên):
SỞ GIÁO DỤC VÀ ĐÀO TẠO
|
KÌ THI TUYỂN SINH VÀO LỚP 10 THPT
|
MÔN THI: TOÁN (Chuyên)
Thời gian làm bài: 150 phút (không kể thời gian giao đề)
--------------------------------------------------------------------------------
Câu 1: (1,5 điểm):
Cho biểu thức: 
a) Rút gọn biểu thức P.
b) Tìm giá trị nhỏ nhất của P.
Câu 2: (2,5 điểm)
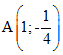
Cho parabol (P) có đỉnh ở gốc toạ độ O và đi qua điểm
.
a) Viết phương trình của parabol (P).
b) Viết phương trình đường thẳng d song song với đường thẳng x+2y=1 và đi qua điểm B(0;m). Với giá trị nào của m thì đường thẳng d cắt (P) tại hai điểm có hoành độ x1, x2 (x1 > x2) sao cho 3x1 + 5x2 = 5.
Câu 3: (2,0 điểm)
Cho hệ phương trình: 
Tìm các giá trị nguyên của m để hệ phương trình trên có nghiệm (x; y) với x, y là những số nguyên.
Câu 4: (3,0 điểm)
Cho đường tròn (O), một dây AB và một điểm C ở ngoài đường tròn và nằm trên tia BA. Từ điểm chính giữa P của cung lớn AB kẻ đường kính PQ của đường tròn cắt dây AB tại D. Tia CP cắt đường tròn (O) tại điểm thứ hai I. Các dây AB và QI cắt nhau tại K.
a) Chứng minh tứ giác PDKI nội tiếp.
b) Chứng minh IC là phân giác góc ngoài ở đỉnh I của tam giác AIB.
c) Giả sử A, B, C cố định, chứng minh khi đường tròn (O) thay đổi nhưng vẫn đi qua A, B thì đường thẳng IQ luôn đi qua một điểm cố định.
Câu 5: (1,0 điểm)
Chứng minh:
, n thuộc Z+