Đề thi tuyển sinh lớp 10 THPT tỉnh Đăk Nông năm 2010 - 2011 môn Toán - Có đáp án
Để chuẩn bị cho kỳ thi vào cấp 3 sắp tới, Vndoc.com xin gửi đến các bạn: Đề thi tuyển sinh lớp 10 THPT tỉnh Đăk Nông năm 2010 - 2011 môn Toán - Có đáp án.
Đề thi tuyển sinh lớp 10 môn Toán:
SỞ GIÁO DỤC VÀ ĐÀO TẠO
|
KÌ THI TUYỂN SINH VÀO LỚP 10 THPT
|
MÔN THI: TOÁN
Thời gian làm bài: 120 phút (không kể thời gian giao đề)
--------------------------------------------------------------------------------
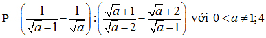
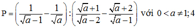
Bài 1: (1,5 điểm)
Cho biểu thức 
1) Rút gọn P.
2) Tính giá trị của P khi a = 9.
Bài 2: (1,5 điểm)
1) Giải phương trình: x2 - 5x + 4 = 0
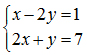
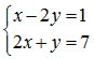
2) Không dùng máy tính, giải hệ phương trình sau: 
Bài 3: (1,5 điểm)
Cho parabol (P): y = x2 và đường thẳng (d): y = 2x + m.
1) Vẽ parabol (P).
2) Tìm m để đường thẳng (d ) cắt parabol (P) tại hai điểm.
Bài 4: (1,5 điểm)
Cạnh huyền của một tam giác vuông bằng 10cm, hai cạnh góc vuông hơn kém nhau 2cm. Tính các cạnh góc vuông của tam giác vuông đó.
Bài 5: (4,0 điểm)
Trên đường tròn (O, R) đường kính AB, lấy hai điểm M, E theo thứ tự A, M, E, B. Hai đường thẳng AM và BE cắt nhau tại điểm C, AE và BM cắt nhau tại điểm D.
1) Chứng minh MCED là một tứ giác nội tiếp.
2) Gọi H là giao điểm của CD và AB. Chứng minh BE.BC = BH.BA.
3) Cho góc CAB = 60o, tính thể tích của hình do quay quanh cạnh MB sinh ra.
4) Chứng minh các tiếp tuyến tại M và E của đường tròn (O) cắt nhau tại một điểm nằm trên đường thẳng CD.