Đề thi tuyển sinh lớp 10 THPT tỉnh Đồng Tháp năm học 2012 - 2013 môn Toán - Có đáp án
Nhằm giúp các bạn chuẩn bị thật tốt kiến thức để làm bài thi đạt hiệu quả cao, Vndoc.com xin giới thiệu: Đề thi tuyển sinh lớp 10 THPT tỉnh Đồng Tháp năm học 2012 - 2013 môn Toán - Có đáp án.
Đề thi tuyển sinh lớp 10 môn Toán:
SỞ GIÁO DỤC VÀ ĐÀO TẠO
|
KỲ THI TUYỂN SINH LỚP 10 THPT
|
Ngày thi: 26/06/2012
Thời gian làm bài: 120 phút (không kể thời gian giao đề)
Câu 1: (2,0 điểm)
a. Tìm các số là căn bậc hai của 36.
b.Cho
. Tính A + B
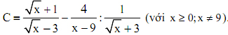
c. Rút gọn biểu thức sau: 
Câu 2: (1,5 điểm)
a. Giải hệ phương trình sau: 
b. Xác định hệ số b của hàm số y = 2x + b, biết khi x = 2 thì y = 3.
Câu 3: (1,5 điểm)
a. Cho hàm số y = ax2 (a # 0). Tìm hệ số a của hàm số, biết khi x = -1 thì y = 1.
b. Cho hàm số y = x2 có đồ thị là (P) và hàm số y = x + 2 có đồ thị là (d). Hãy xác định tọa độ giao điểm của (P) và (d) bằng phương pháp đại số.
Câu 4: (2,0 điểm)
a. Cho phương trình x2 + 5x + 3 = 0 (1)
- Tính biệt thức Δ (đenta) và cho biết số nghiệm của phương trình (1).
- Với x1, x2 là hai nghiệm của phương trình (1), dùng hệ thức Vi-ét để tính: x1 + x2 và x1.x2
b. Giải bài toán sau bằng cách lập phương trình: Hai ô tô khởi hành cùng một lúc đi từ A đến B dài 100km. Mỗi giờ ô tô thứ nhất chạy nhanh hơn ô tô thứ hai là 10km, nên đến B sớm hơn 30 phút. Tính vận tốc của mỗi ô tô.
Câu 5: (3,0 điểm)
a. Cho tam giác MNPcân tại M, đường cao MH (H thuộc NP). Từ H kẻ HE vuông góc MN (E thuộc MN).
- Biết MN= 25cm, HN= 15cm. Tính MH, ME.
- Đường thẳng đi qua E và song song với NP cắt cạnh MP tại F. Tứ giác NPFE là hình gì? Vì sao?
b. Cho tam giác ABC (AB < AC) nội tiếp đường tròn tâm O đường kính BC, vẽ AH vuông góc với BC (H thuộc BC). Trên cung nhỏ AC lấy điểm D bất kì (D khác A và C), dây BD cắt AH tại E.
- Chứng minh tứ giác DEHC là tứ giác nội tiếp.
- Chứng minh AB2 = BE.BD