Giao diện mới của VnDoc Pro: Dễ sử dụng hơn - chỉ tập trung vào lớp bạn quan tâm. Vui lòng chọn lớp mà bạn quan tâm: Lưu và trải nghiệm
Đóng
Điểm danh hàng ngày
  • Hôm nay +3
  • Ngày 2 +3
  • Ngày 3 +3
  • Ngày 4 +3
  • Ngày 5 +3
  • Ngày 6 +3
  • Ngày 7 +5
Bạn đã điểm danh Hôm nay và nhận 3 điểm!
Nhắn tin Zalo VNDOC để nhận tư vấn mua gói Thành viên hoặc tải tài liệu Hotline hỗ trợ: 0936 120 169

Đề thi tuyển sinh lớp 10 THPT tỉnh Gia Lai năm học 2012 - 2013 môn Toán - Có đáp án

Lớp: Lớp 10
Loại File: Word
Phân loại: Tài liệu Tính phí

Để chuẩn bị cho kỳ thi vào cấp 3 sắp tới, Vndoc.com xin gửi đến các bạn: Đề thi tuyển sinh lớp 10 THPT tỉnh Gia Lai năm học 2012 - 2013 môn Toán - Có đáp án.

Đề thi tuyển sinh lớp 10 môn Toán:

SỞ GIÁO DỤC VÀ ĐÀO TẠO
GIA LAI

ĐỀ THI CHÍNH THỨC

KỲ THI TUYỂN SINH LỚP 10 THPT
NĂM HỌC 2012-2013

MÔN: TOÁN
Thời gian làm bài: 120 phút (không kể thời gian phát đề)
Khóa ngày: 26/6/2012

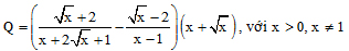
Câu 1. (2,0 điểm)

Cho biểu thức

a. Rút gọn biểu thức Q

b. Tìm các giá trị nguyên của x để Q nhận giá trị nguyên.

Câu 2. (1,5 điểm)

Cho phương trình x2 - 2(m + 1)x + m - 2 = 0, với x là ẩn số, m thuộc R

a. Giải phương trình đã cho khi m = – 2

b. Giả sử phương trình đã cho có hai nghiệm phân biệt x1 và x2. Tìm hệ thức liên hệ giữa x1 và x2 mà không phụ thuộc vào m.

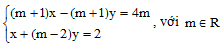
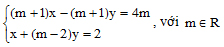
Câu 3. (2,0 điểm)

Cho hệ phương trình

a. Giải hệ đã cho khi m = –3

b. Tìm điều kiện của m để phương trình có nghiệm duy nhất. Tìm nghiệm duy nhất đó.

Câu 4. (2,0 điểm)

Cho hàm số y = - x2 có đồ thị (P). Gọi d là đường thẳng đi qua điểm M(0;1) và có hệ số góc k.

a. Viết phương trình của đường thẳng d

b. Tìm điều kiện của k để đường thẳng d cắt đồ thị (P) tại hai điểm phân biệt.

Câu 5. (2,5 điểm)

Cho tam giác nhọn ABC (AB < AC < BC) nội tiếp trong đường tròn (O). Gọi H là giao điểm của hai đường cao BD và CE của tam giác ABC (D thuộc AC, E thuộc AB)

a. Chứng minh tứ giác BCDE nội tiếp trong một đường tròn

b. Gọi I là điểm đối xứng với A qua O và J là trung điểm của BC. Chứng minh rằng ba điểm H, J, I thẳng hàng

c. Gọi K, M lần lượt là giao điểm của AI với ED và BD. Chứng minh rằng

Chọn file muốn tải về:
Đóng Chỉ thành viên VnDoc PRO/PROPLUS tải được nội dung này!
Đóng
79.000 / tháng
Đặc quyền các gói Thành viên
PRO
Phổ biến nhất
PRO+
Tải tài liệu Cao cấp 1 Lớp
30 lượt tải tài liệu
Xem nội dung bài viết
Trải nghiệm Không quảng cáo
Làm bài trắc nghiệm không giới hạn
Mua cả năm Tiết kiệm tới 48%
3

Có thể bạn quan tâm

Xác thực tài khoản!

Theo Nghị định 147/2024/ND-CP, bạn cần xác thực tài khoản trước khi sử dụng tính năng này. Chúng tôi sẽ gửi mã xác thực qua SMS hoặc Zalo tới số điện thoại mà bạn nhập dưới đây:

Số điện thoại chưa đúng định dạng!
Số điện thoại này đã được xác thực!
Bạn có thể dùng Sđt này đăng nhập tại đây!
Lỗi gửi SMS, liên hệ Admin
Sắp xếp theo
🖼️

Lớp 10

Xem thêm
🖼️

Gợi ý cho bạn

Xem thêm