Đề thi tuyển sinh lớp 10 THPT tỉnh Hà Nam năm học 2013 - 2014 môn Toán (Có đáp án)
Để chuẩn bị cho kỳ thi vào cấp 3 sắp tới, Vndoc.com xin gửi đến các bạn: Đề thi tuyển sinh lớp 10 THPT tỉnh Hà Nam năm học 2013 - 2014 môn Toán (Có đáp án).
Đề thi tuyển sinh lớp 10 môn Toán:
SỞ GIÁO DỤC VÀ ĐÀO TẠO
|
KÌ THI TUYỂN SINH LỚP 10 THPT
|
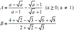
Câu 1: (1,5 điểm)
Rút gọn các biểu thức sau:
Câu 2: (2 điểm)
a) Giải phương trình: x2 - 6x - 7 = 0
b) Giải hệ phương trình: 
Câu 3: (1,5 điểm)
Cho phương trình: x2 + 2(m – 1)x – 2m – 3 = 0 (m là tham số)
a) Chứng minh phương trình luôn có hai nghiệm phân biệt x1, x2 với mọi m thuộc R.
b) Tìm giá trị của m sao cho (4x1 + 5)(4x2 + 5) + 19 = 0
Câu 4: (4 điểm)
Cho đường tròn tâm O, đường kính AB. Lấy C thuộc (O) (C không trùng với A, B), M là điểm chính giữa của cung nhỏ AC. Các đường thẳng AM và BC cắt nhau tại I, các đường thẳng AC, BM cắt nhau tại K.
a) Chứng minh góc ABM = góc IBM và ΔABI cân.
b) Chứng minh tứ giác MICK nội tiếp.
c) Đường thẳng BM cắt tiếp tuyến tại A của (O) ở N. Chứng minh đường thẳng NI là tiếp tuyến của (B, BA) và NI vuông góc MO
d) Đường tròn ngoại tiếp ΔBIK cắt đường tròn (B, BA) tại D (D không trùng với I). Chứng minh A, C, D thẳng hàng.
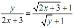
Câu 5: (1 điểm)
Cho các số thực dương x, y thỏa mãn 
Tìm giá trị nhỏ nhất của biểu thức: Q = xy – 3y – 2x - 3.