Đề thi tuyển sinh lớp 10 THPT tỉnh Hà Tĩnh năm học 2013 - 2014 môn Toán
Nhằm giúp các bạn chuẩn bị thật tốt kiến thức đề làm bài thi đạt hiệu quả cao, Vndoc.com xin giới thiệu: Đề thi tuyển sinh lớp 10 THPT tỉnh Hà Tĩnh năm học 2013 - 2014 môn Toán.
Đề thi tuyển sinh lớp 10 môn Toán:
SỞ GIÁO DỤC VÀ ĐÀO TẠO
|
KÌ THI TUYỂN SINH LỚP 10 THPT
|
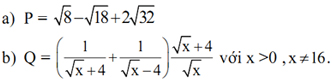
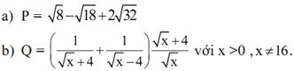
Bài 1.
Rút gọn các biểu thức:
Bài 2.
Giải hệ phương trình: ![]()
Bài 3.
Cho phương trình bậc hai: x2 - 4x + m + 2 = 0 (m là tham số)
a. Giải phương trình khi m = 2
b. Tìm tất cả các giá trị của m để phương trình có hai nghiệm phân biệt x1, x2 thỏa mãn x12 + x22 = 3(x1 + x2)
Bài 4.
Trong mặt phẳng tọa độ Oxy cho đường thẳng y = (m2 + 2)x + m và đường thẳng y = 6x + 2. Tìm m để hai đường thẳng đó song song với nhau
Bài 5.
Cho đường tròn (O) và điểm A nằm ngoài đường tròn. Vẽ các tiếp tuyến AM, AN với các đường tròn (O) (M, N thuộc (O)). Qua A vẽ một đường thẳng cắt đường tròn (O) tại hai điểm B, C phân biệt (B nằm giữa A, C). Gọi H là trung điểm của đoạn thẳng BC.
1/ Chứng minh tứ giác ANHM nội tiếp được trong đường tròn
2/ Chứng minh AN2 = AB.AC
3/ Đường thẳng qua B song song với AN cắt đoạn thẳng MN tại E. Chứng minh: EH // NC.
Câu 6:
Cho các số thực x, y thay đổi thỏa mãn 0 < x < 1, 0 < y < 1
Chứng minh: ![]()