Giao diện mới của VnDoc Pro: Dễ sử dụng hơn - chỉ tập trung vào lớp bạn quan tâm. Vui lòng chọn lớp mà bạn quan tâm: Lưu và trải nghiệm
Đóng
Điểm danh hàng ngày
  • Hôm nay +3
  • Ngày 2 +3
  • Ngày 3 +3
  • Ngày 4 +3
  • Ngày 5 +3
  • Ngày 6 +3
  • Ngày 7 +5
Bạn đã điểm danh Hôm nay và nhận 3 điểm!
Nhắn tin Zalo VNDOC để nhận tư vấn mua gói Thành viên hoặc tải tài liệu Hotline hỗ trợ: 0936 120 169

Đề thi tuyển sinh lớp 10 THPT tỉnh Kiên Giang năm 2012 - 2013 môn Toán - Có đáp án

Lớp: Lớp 10
Loại File: PDF
Phân loại: Tài liệu Tính phí

Để chuẩn bị cho kỳ thi vào cấp 3 sắp tới, Vndoc.com xin gửi đến các bạn: Đề thi tuyển sinh lớp 10 THPT tỉnh Kiên Giang năm 2012 - 2013 môn Toán - Có đáp án.

Đề thi tuyển sinh lớp 10 môn Toán:

SỞ GIÁO DỤC VÀ ĐÀO TẠO
KIÊN GIANG

ĐỀ CHÍNH THỨC

ĐỀ THI TUYỂN SINH VÀO LỚP 10 THPT
NĂM HỌC 2012 - 2013

MÔN THI: TOÁN
Thời gian làm bài: 150 phút (không kể thời gian giao đề)
Ngày thi: 26/06/2012

Bài 1: (1,5 điểm)

1. Rút gọn các biểu thức

2. Cho biểu thức

a. Rút gọn B

b. Tính giá trị biểu thức B khi

Bài 2: (1, 5 điểm)

Cho đường thẳng (dm): y = -x + 1 - m2 và (D): y = x.

1. Vẽ đường thẳng (dm) khi m = 2 và (D) trên cùng hệ trục tọa độ, nhận xét về 2 đồ thị của chúng.

2. Tìm m để trục tọa độ Ox, (D) và (dm) đồng quy.

Bài 3: (1,5 điểm)

Trong đợt quyên góp ủng hộ người nghèo, lớp 9A và 9B có 79 học sinh quyên góp được 975000 đồng. Mỗi học sinh lớp 9A đóng góp 10000 đồng, mỗi học sinh lớp 9B đóng góp 15000 đồng. Tính số học sinh mỗi lớp.

Bài 4: (1,5 điểm)

Cho phương trình: x2 - 2(m + 2)x + m2 + 5m + 4 = 0(*).

1. Chứng minh rằng với m < 0 phương trình (*) luôn luôn có 2 nghiệm phân biệt x1, x2.

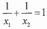
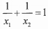
2. Tìm m để phương trình (*) có hai nghiệm phân biệt x1, x2 thỏa hệ thức

Bài 5: (4 điểm)

Cho nửa đường tròn tâm O đường kính AB và điểm C trên đường tròn sao cho CA = CB. Gọi M là trung điểm của dây cung AC; Nối BM cắt cung AC tại E; AE và BC kéo dài cắt nhau tại D.

a. Chứng minh: DE.DA = DC.DB

b. Chứng minh: MOCD là hình bình hành.

c. Kẻ EF vuông góc với AC. Tính tỉ số MF/EF

d. Vẽ đường tròn tâm E bán kính EA cắt đường tròn (O) tại điểm thứ hai là N; EF cắt AN tại I, cắt đường tròn (O) tại điểm thứ hai là K; EB cắt AN tại H. Chứng minh: Tứ giác BHIK nội tiếp được đường tròn.

Chọn file muốn tải về:
Đóng Chỉ thành viên VnDoc PRO/PROPLUS tải được nội dung này!
Đóng
79.000 / tháng
Đặc quyền các gói Thành viên
PRO
Phổ biến nhất
PRO+
Tải tài liệu Cao cấp 1 Lớp
30 lượt tải tài liệu
Xem nội dung bài viết
Trải nghiệm Không quảng cáo
Làm bài trắc nghiệm không giới hạn
Mua cả năm Tiết kiệm tới 48%
6

Có thể bạn quan tâm

Xác thực tài khoản!

Theo Nghị định 147/2024/ND-CP, bạn cần xác thực tài khoản trước khi sử dụng tính năng này. Chúng tôi sẽ gửi mã xác thực qua SMS hoặc Zalo tới số điện thoại mà bạn nhập dưới đây:

Số điện thoại chưa đúng định dạng!
Số điện thoại này đã được xác thực!
Bạn có thể dùng Sđt này đăng nhập tại đây!
Lỗi gửi SMS, liên hệ Admin
Sắp xếp theo
🖼️

Lớp 10

Xem thêm
🖼️

Gợi ý cho bạn

Xem thêm