Đề thi tuyển sinh lớp 10 THPT tỉnh Lâm Đồng năm học 2012 - 2013 môn Toán
Vndoc.com xin giới thiệu đến các bạn lớp 9, chuẩn bị thi lên lớp 10: Đề thi tuyển sinh lớp 10 THPT tỉnh Lâm Đồng năm học 2012 - 2013 môn Toán.
Đề thi tuyển sinh lớp 10 môn Toán:
SỞ GIÁO DỤC VÀ ĐÀO TẠO
|
KỲ THI TUYỂN SINH VÀO LỚP 10 THPT
|
Câu 1: (0,75 điểm)
Tính: ![]()
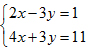
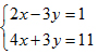
Câu 2: (0,75 điểm)
Giải hệ phương trình: 
Câu 3: (0,75 điểm)
Cho tam giác ABC vuông tại A, đường cao AH. Biết BH = 9cm, Ch = 16cm. Tính độ dài các đoạn thẳng AH, BH, AC.
Câu 4: (0,75 điểm)
Cho hai đường thẳng (d) : y = (m-3)x + 16 (m 3) và (d’): y = x + m2. Tìm m để (d) và (d’) cắt nhau tại một điểm trên trục tung
Câu 5: (0,75 điểm)
Cho AB là dây cung của đường tròn tâm O bán kính 12cm. Biết AB = 12cm. Tính diện tích hình quạt tạo bởi hai bán kính OA, OB và cung nhỏ AB.
Câu 6: (1 điểm)
Cho hàm số y = ax2 (a # 0) có đồ thị (P).
a) Tìm a biết (P) đi qua điểm A(2; 4)
b) Tìm k để đường thẳng (d) : y = 2x + k luôn cắt (P) tại 2 điểm phân biệt.
Câu 7: (0,75 điểm)
Hình nón có thể thể tích là 320 cm3, bán kính đường tròn là 8cm. Tính diện tích toàn phần của hình nón.
Câu 8: (1 điểm)
Cho đường tròn (O) đường kính AB, M là trung điểm của OA. Qua M vẽ dây cung CD vuông góc với OA.
a) Chứng minh tứ giác ACOD là hình thoi .
b) Tia CO cắt BD tại I. Chứng minh tứ giác DIOM nội tiếp.
Câu 9: (1 điểm)
Hai đội công nhân cùng đào một con mương. Nếu họ cùng làm thì trong 8 giờ xong việc. Nếu họ làm riêng thì đội A hoàn thành công việc nhanh hơn đội B 12 giờ. Hỏi nếu làm riêng thì mỗi đội phải làm trong bao nhiêu giờ mới xong việc.
Câu 10: (0,75 điểm)
Rút gọn biểu thức: ![]()
Câu 11: (1 điểm)
Cho phương trình: x2 – 2(m - 2)x - 3m2 +2 = 0 (x là ẩn, m là tham số)
Tìm m để phương trình có 2 nghiệm x1; x2 thỏa: x1(2 - x2) + x2(2 - x1) = -2
Câu 12: (0,75 điểm)
Cho nửa đường tròn (O) đường kính AB, vẽ các tiếp tuyến Ax và By cùng phía với nữa đường tròn, M là điểm chính giữa cung AB, N là một điểm thuộc đoạn OA (N # O, N # A). Đường thẳng vuông góc với MN tại M cắt Ax và By lần lượt tại C và D. Chứng minh: AC = BN.