Đề thi tuyển sinh lớp 10 THPT tỉnh Lạng Sơn năm học 2013 - 2014 môn Toán (Có đáp án)
Vndoc.com xin giới thiệu đến các bạn lớp 9, chuẩn bị thi lên lớp 10: Đề thi tuyển sinh lớp 10 THPT tỉnh Lạng Sơn năm học 2013 - 2014 môn Toán (Có đáp án).
Đề thi tuyển sinh lớp 10 môn Toán:
SỞ GIÁO DỤC VÀ ĐÀO TẠO
|
KÌ THI TUYỂN SINH LỚP 10 THPT
|
Câu 1: (2 điểm)
a. Tính giá trị của các biểu thức: ![]()
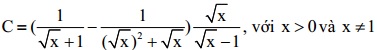
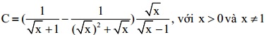
b .Rút gọn: 
Câu 2: (1 điểm)
Vẽ đồ thị các hàm số y = x2; y = 2x - 1 trên cùng một mặt phẳng tọa độ, xác định tọa độ giao điểm của hai đồ thị đó.
Câu 3: (2 điểm)
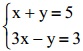
a. Giải hệ phương trình: 
b. Một mảnh đất hình chữ nhật có chiều dài hơn chiều rộng 5 m. Tính kích thước của mảnh đất, biết rằng diện tích mảnh đất là 150 m2.
Câu 4: (4 điểm)
Cho đường tròn (O) và điểm M nằm ngoài đường tròn đó. Qua điểm M kẻ tiếp tuyến MA và cát tuyến MBC (B nằm giữa M và C). Gọi E là trung điểm của dây BC.
a. Chứng minh: MAOE là tứ giác nội tiếp;
b. MO cắt đường tròn tại I (I nằm giữa M và O). Tính ![]()
c. Tia phân giác góc BAC cắt dây BC tại D. Chứng minh: MD2 = MB.MC
Câu 5: (1 điểm)
Tìm nghiệm nguyên x, y của phương trình: x2y2 + (x - 1)2 + (y - 1)2 - 2xy(x + y - 2) = 2.