Đề thi tuyển sinh lớp 10 THPT tỉnh Nam Định năm học 2013 - 2014 môn Toán (Có đáp án)
Đề chuẩn bị cho kỳ thi vào cấp 3 sắp tới, Vndoc.com xin gửi đến các bạn: Đề thi tuyển sinh lớp 10 THPT tỉnh Nam Định năm học 2013 - 2014 môn Toán (Có đáp án).
Đề thi tuyển sinh lớp 10 môn Toán:
SỞ GIÁO DỤC VÀ ĐÀO TẠO
|
KỲ THI TUYỂN SINH VÀO LỚP 10 THPT
|
Phần I - Trắc nghiệm (2,0 điểm)
Hãy chọn phương án trả lời đúng và viết chữ cái đứng trước phương án đó vào bài làm.
Câu 1. Điều kiện để biểu thức
có nghĩa là
A. x > 1. B. x < 1. C. x ≥ 1. D. x # 1.
Câu 2. Trong mặt phẳng tọa độ Oxy, đường thẳng y = ax + 5 (d) đi qua điểm M(-1;3). Hệ số góc của (d) là
A. –1. B. –2. C. 2. D. 3.
Câu 3. Hệ phương trình
có nghiệm (x;y) là
A. (1;1). B. (7;1). C. (3;3). D. (3;-3).
Câu 4. Phương trình nào sau đây có tích hai nghiệm bằng 3?
A. x2 + x + 3 = 0 B. x2 + x - 3 = 0 C. x2 - 3x + 1 = 0 D. x2 + 5x + 3 = 0
Câu 5. Trong mặt phẳng tọa độ Oxy, số giao điểm của parabol y = x2 và đường thẳng y = 2x + 3 là
A. 2. B. 1. C. 0. D. 3.
Câu 6. Cho tam giác ABC vuông tại A, có AB = 3cm; AC = 4cm. Độ dài đường cao ứng với cạnh huyền bằng
A. 7cm. B. 1cm. C. 12/5cm. D. 5/12cm.
Câu 7. Cho hai đường tròn (O; 3cm) và (O'; 5cm), có OO' = 7cm. Số điểm chung của hai đường tròn là
A. 1. B. 2. C. 3. D. 4.
Câu 8. Một hình nón có bán kính đáy bằng 4cm, đường sinh bằng 5cm. Diện tích xung quanh của hình nón bằng
A. 20π cm2. B. 15π cm2. C. 12π cm2. D. 40π cm2.
Phần II - Tự luận (8,0 điểm)
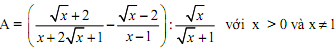
Câu 1. (1,5 điểm)
Cho biểu thức 
1) Rút gọn biểu thức A.
2) Tìm tất cả các số nguyên x để biểu thức A có giá trị là số nguyên.
Câu 2. (1,5 điểm)
Cho phương trình x2 – 2mx + m2 – m –1 =0 (1), với m là tham số.
1) Giải phương trình (1) khi m = 1.
2) Xác định m để phương trình (1) có hai nghiệm x1, x2 thỏa mãn điều kiện x1(x1 + 2) + x2(x2 + 2) = 10
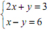
Câu 3. (1,0 điểm)
Giải hệ phương trình: 
Câu 4. (3,0 điểm)
Cho đường tròn (O) đường kính AB. Trên tia đối của tia BA lấy điểm C (C không trùng với B). Kẻ tiếp tuyến CD với đường tròn (O) (D là tiếp điểm), tiếp tuyến tại A của đường tròn (O) cắt đường thẳng CD tại E. Gọi H là giao điểm của AD và OE, K là giao điểm của BE với đường tòn (O) (K không trùng với B).
1) Chứng minh AE2 = EK.EB.
2) Chứng minh 4 điểm B, O, H, K cùng thuộc một đường tròn.
3) Đường thẳng vuông góc với AB tại O cắt CE tại M. Chứng minh: ![]()
Câu 5. (1,0 điểm).
Giải phương trình: ![]()