Giao diện mới của VnDoc Pro: Dễ sử dụng hơn - chỉ tập trung vào lớp bạn quan tâm. Vui lòng chọn lớp mà bạn quan tâm: Lưu và trải nghiệm
Đóng
Điểm danh hàng ngày
  • Hôm nay +3
  • Ngày 2 +3
  • Ngày 3 +3
  • Ngày 4 +3
  • Ngày 5 +3
  • Ngày 6 +3
  • Ngày 7 +5
Bạn đã điểm danh Hôm nay và nhận 3 điểm!
Nhắn tin Zalo VNDOC để nhận tư vấn mua gói Thành viên hoặc tải tài liệu Hotline hỗ trợ: 0936 120 169

Đề thi tuyển sinh lớp 10 THPT tỉnh Nghệ An năm 2010 - 2011 môn Toán

Lớp: Lớp 10
Loại File: PDF
Phân loại: Tài liệu Tính phí

Nhằm giúp các bạn chuẩn bị thật tốt kiến thức để làm bài thi đạt hiệu quả cao, Vndoc.com xin giới thiệu: Đề thi tuyển sinh lớp 10 THPT tỉnh Nghệ An năm 2010 - 2011 môn Toán.

Đề thi tuyển sinh lớp 10 môn Toán:

SỞ GIÁO DỤC VÀ ĐÀO TẠO
NGHỆ AN


(ĐỀ THI CHÍNH THỨC)

KỲ THI TUYỂN SINH LỚP 10 THPT
NĂM HỌC: 2010 - 2011
MÔN: TOÁN

(Thời gian làm bài 120 phút không kể thời gian giao đề)


Câu I
(3 điểm).

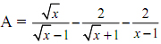
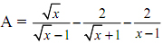
Cho biểu thức

1. Nêu điều kiện xác định và rút gọn biểu thức A.

2. Tính giá trị của biểu thức A khi x = 9.

3. Khi x thoả mãn điều kiện xác định. Hãy tìm giá trị nhỏ nhất của biểu thức B, với B = A(x – 1).

Câu II (2 điểm).

Cho phương trình bậc hai sau, với tham số m: x2 – (m + 1)x + 2m – 2 = 0 (1)

1. Giải phương trình (1) khi m = 2.

2. Tìm giá trị của tham số m để x = -2 là một nghiệm của phương trình (1).

Câu III (1,5 điểm).

Hai người cùng làm chung một công việc thì sau 4 giờ30 phút họ làm xong. Nếu một mình người thứ nhất làm trong 4 giờ, sau đó một mình người thứ hai làm trong 3 giờthì cả hai người làm được 75% công việc.

Hỏi nếu mỗi người làm một mình thì sau bao lâu sẽ xong công việc? (Biết rằng năng suất làm việc của mỗi người là không thay đổi).

Câu IV (3,5 điểm).

Cho nửa đường tròn tâm O đường kính AB. Điểm H cố định thuộc đoạn thẳng AO (H khác A và O). Đường thẳng đi qua điểm H và vuông góc với AO cắt nửa đường tròn (O) tại C. Trên cung BC lấy điểm D bất kỳ (D khác B và C). Tiếp tuyến của nửa đường tròn (O) tại D cắt đường thẳng HC tại E. Gọi I là giao điểm của AD và HC.

1. Chứng minh tứ giác HBDI nội tiếp đường tròn.

2. Chứng minh tam giác DEI là tam giác cân.

3. Gọi F là tâm đường tròn ngoại tiếp tam giác ICD. Chứng minh góc ABF có số đo không đổi khi D thay đổi trên cung BC (D khác B và C)

Chọn file muốn tải về:
Đóng Chỉ thành viên VnDoc PRO/PROPLUS tải được nội dung này!
Đóng
79.000 / tháng
Đặc quyền các gói Thành viên
PRO
Phổ biến nhất
PRO+
Tải tài liệu Cao cấp 1 Lớp
30 lượt tải tài liệu
Xem nội dung bài viết
Trải nghiệm Không quảng cáo
Làm bài trắc nghiệm không giới hạn
Mua cả năm Tiết kiệm tới 48%
60

Có thể bạn quan tâm

Xác thực tài khoản!

Theo Nghị định 147/2024/ND-CP, bạn cần xác thực tài khoản trước khi sử dụng tính năng này. Chúng tôi sẽ gửi mã xác thực qua SMS hoặc Zalo tới số điện thoại mà bạn nhập dưới đây:

Số điện thoại chưa đúng định dạng!
Số điện thoại này đã được xác thực!
Bạn có thể dùng Sđt này đăng nhập tại đây!
Lỗi gửi SMS, liên hệ Admin
Sắp xếp theo
🖼️

Lớp 10

Xem thêm
🖼️

Gợi ý cho bạn

Xem thêm