Giao diện mới của VnDoc Pro: Dễ sử dụng hơn - chỉ tập trung vào lớp bạn quan tâm. Vui lòng chọn lớp mà bạn quan tâm: Lưu và trải nghiệm
Đóng
Điểm danh hàng ngày
  • Hôm nay +3
  • Ngày 2 +3
  • Ngày 3 +3
  • Ngày 4 +3
  • Ngày 5 +3
  • Ngày 6 +3
  • Ngày 7 +5
Bạn đã điểm danh Hôm nay và nhận 3 điểm!
Nhắn tin Zalo VNDOC để nhận tư vấn mua gói Thành viên hoặc tải tài liệu Hotline hỗ trợ: 0936 120 169

Đề thi tuyển sinh lớp 10 THPT tỉnh Nghệ An năm học 2012 - 2013 môn Toán

Lớp: Lớp 10
Loại File: Word
Phân loại: Tài liệu Tính phí

Nhằm giúp các bạn chuẩn bị thật tốt kiến thức đề làm bài thi đạt hiệu quả cao, Vndoc.com xin giới thiệu: Đề thi tuyển sinh lớp 10 THPT tỉnh Nghệ An năm học 2012 - 2013 môn Toán.

Đề thi tuyển sinh lớp 10 môn Toán:

SỞ GIÁO DỤC VÀ ĐÀO TẠO
NGHỆ AN

ĐỀ THI CHÍNH THỨC

KỲ THI TUYỂN SINH VÀO LỚP 10 THPT
NĂM HỌC 2012 - 2013

MÔN THI: TOÁN
Ngày thi: 24/06/2012
Thời gian làm bài: 120 phút (không kể thời gian giao đề)

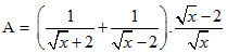
Câu 1: (2,5 điểm)

Cho biểu thức

a) Tìm điều kiện xác định và rút gọn A.

b) Tìm tất cả các giá trị của x để

c) Tìm tất cả các giá trị của x để đạt giá trị nguyên.

Câu 2: (1,5 điểm)

Quảng đường AB dài 156 km. Một người đi xe máy tử A, một người đi xe đạp từ B. Hai xe xuất phát cùng một lúc và sau 3 giờ gặp nhau. Biết rằng vận tốc của người đi xe máy nhanh hơn vận tốc của người đI xe đạp là 28 km/h. Tính vận tốc của mỗi xe?

Câu 3: (2 điểm)

Cho phương trình: x2 - 2(m - 1)x + m2 – 6 = 0 (m là tham số).

a) Giải phương trình khi m = 3

b) Tìm m để phương trình có hai nghiệm x1, x2 thỏa mãn

Câu 4: (4 điểm)

Cho điểm M nằm ngoài đường tròn tâm O. Vẽ tiếp tuyến MA, MB với đường tròn (A, B là các tiếp điểm). Vẽ cát tuyến MCD không đI qua tâm O (C nằm giữa M và D), OM cắt AB và (O) lần lượt tại H và I. Chứng minh:

a) Tứ giác MAOB nội tiếp.

b) MC.MD = MA2

c) OH.OM + MC.MD = MO2

d) CI là tia phân giác góc MCH.

Chọn file muốn tải về:
Đóng Chỉ thành viên VnDoc PRO/PROPLUS tải được nội dung này!
Đóng
79.000 / tháng
Đặc quyền các gói Thành viên
PRO
Phổ biến nhất
PRO+
Tải tài liệu Cao cấp 1 Lớp
30 lượt tải tài liệu
Xem nội dung bài viết
Trải nghiệm Không quảng cáo
Làm bài trắc nghiệm không giới hạn
Mua cả năm Tiết kiệm tới 48%
10

Có thể bạn quan tâm

Xác thực tài khoản!

Theo Nghị định 147/2024/ND-CP, bạn cần xác thực tài khoản trước khi sử dụng tính năng này. Chúng tôi sẽ gửi mã xác thực qua SMS hoặc Zalo tới số điện thoại mà bạn nhập dưới đây:

Số điện thoại chưa đúng định dạng!
Số điện thoại này đã được xác thực!
Bạn có thể dùng Sđt này đăng nhập tại đây!
Lỗi gửi SMS, liên hệ Admin
Sắp xếp theo
🖼️

Lớp 10

Xem thêm
🖼️

Gợi ý cho bạn

Xem thêm