Giao diện mới của VnDoc Pro: Dễ sử dụng hơn - chỉ tập trung vào lớp bạn quan tâm. Vui lòng chọn lớp mà bạn quan tâm: Lưu và trải nghiệm
Đóng
Điểm danh hàng ngày
  • Hôm nay +3
  • Ngày 2 +3
  • Ngày 3 +3
  • Ngày 4 +3
  • Ngày 5 +3
  • Ngày 6 +3
  • Ngày 7 +5
Bạn đã điểm danh Hôm nay và nhận 3 điểm!
Nhắn tin Zalo VNDOC để nhận tư vấn mua gói Thành viên hoặc tải tài liệu Hotline hỗ trợ: 0936 120 169

Đề thi tuyển sinh lớp 10 THPT tỉnh Ninh Thuận năm học 2012 - 2013 môn Toán - Có đáp án

Lớp: Lớp 10
Loại File: Word
Phân loại: Tài liệu Tính phí

Vndoc.com xin giới thiệu đến các bạn lớp 9, chuẩn bị thi lên lớp 10: Đề thi tuyển sinh lớp 10 THPT tỉnh Ninh Thuận năm học 2012 - 2013 môn Toán - Có đáp án.

Đề thi tuyển sinh lớp 10 môn Toán:

SỞ GIÁO DỤC VÀ ĐÀO TẠO
NINH THUẬN

ĐỀ THI CHÍNH THỨC

KỲ THI TUYỂN SINH LỚP 10 THPT
NĂM HỌC 2012-2013

MÔN: TOÁN
Thời gian làm bài: 120 phút (không kể thời gian phát đề)
Khóa ngày: 24 – 6 – 2012

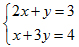
Bài 1: (2,0 điểm)

a. Giải hệ phương trình:

b. Xác định các giá trị của m để hệ phương trình sau vô nghiệm: (m là tham số)

Bài 2: (3,0 điểm)

Cho hai hàm số y = x2 và y = x + 2.

a. Vẽ đồ thị hai hàm số đã cho trên cùng một hệ trục tọa độ Oxy.

b. Bằng phép tính hãy xác định tọa độ các giao điểm A, B của hai đồ thị trên (điểm A có hoành độ âm).

c. Tính diện tích của tam giác OAB (O là gốc tọa độ)

Bài 3: (1,0 điểm)

Tính giá trị của biểu thức:

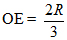
Bài 4: (3,0 điểm)

Cho đường tròn tâm O, đường kính AC = 2R. Từ một điểm E ở trên đoạn OA (E không trùng với A và O). Kẻ dây BD vuông góc với AC. Kẻ đường kính DI của đường tròn (O).

a. Chứng minh rằng: AB = CI.

b. Chứng minh rằng: EA2 + EB2 + EC2 + ED2 = 4R2

c. Tính diện tích của đa giác ABICD theo R khi

Bài 5: (1,0 điểm)

Cho tam giác ABC và các trung tuyến AM, BN, CP. Chứng minh rằng:

Chọn file muốn tải về:
Đóng Chỉ thành viên VnDoc PRO/PROPLUS tải được nội dung này!
Đóng
79.000 / tháng
Đặc quyền các gói Thành viên
PRO
Phổ biến nhất
PRO+
Tải tài liệu Cao cấp 1 Lớp
30 lượt tải tài liệu
Xem nội dung bài viết
Trải nghiệm Không quảng cáo
Làm bài trắc nghiệm không giới hạn
Mua cả năm Tiết kiệm tới 48%
2

Có thể bạn quan tâm

Xác thực tài khoản!

Theo Nghị định 147/2024/ND-CP, bạn cần xác thực tài khoản trước khi sử dụng tính năng này. Chúng tôi sẽ gửi mã xác thực qua SMS hoặc Zalo tới số điện thoại mà bạn nhập dưới đây:

Số điện thoại chưa đúng định dạng!
Số điện thoại này đã được xác thực!
Bạn có thể dùng Sđt này đăng nhập tại đây!
Lỗi gửi SMS, liên hệ Admin
Sắp xếp theo
🖼️

Lớp 10

Xem thêm
🖼️

Gợi ý cho bạn

Xem thêm