Đề thi tuyển sinh lớp 10 THPT tỉnh Phú Thọ năm học 2012 - 2013 môn Toán - Có đáp án
Để chuẩn bị cho kỳ thi vào cấp 3 sắp tới, Vndoc.com xin gửi đến các bạn: Đề thi tuyển sinh lớp 10 THPT tỉnh Phú Thọ năm học 2012 - 2013 môn Toán - Có đáp án.
Đề thi tuyển sinh lớp 10 môn Toán:
SỞ GIÁO DỤC VÀ ĐÀO TẠO
|
KỲ THI TUYỂN SINH LỚP 10 THPT
|
Câu 1 (2 điểm)
a) Giải phương trình 2x – 5 =1
b) Giải bất phương trình 3x – 1 > 5
Câu 2 (2 điểm)
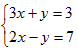
a) Giải hệ phương trình ![]()
b) Chứng minh rằng: ![]()
Câu 3 (2 điểm)
Cho phương trình x2 – 2(m – 3)x – 1 = 0
a. Giải phương trình khi m = 1
b. Tìm m để phương trình có nghiệm x1; x2 mà biểu thức A = x12 – x1x2 + x22 đạt giá trị nhỏ nhất? Tìm giá trị nhỏ nhất đó.
Câu 4 (3 điểm)
Cho tam giác ABC vuông tại A. Lấy B làm tâm vẽ đường tròn tâm B bán kính AB.Lấy C làm tâm vẽ đường tròn tâm C bán kính AC, hai đường tròn này cắt nhau tại điểm thứ 2 là D.Vẽ AM, AN lần lượt là các dây cung của đường tròn (B) và (C) sao cho AM vuông góc với AN và D nằm giữa M; N.
a. Chứng minh rằng: ΔABC = ΔDBC
b. Chứng minh rằng: ABDC là tứ giác nội tiếp.
c. Chứng minh rằng: ba điểm M, D, N thẳng hàng
d. Xác định vị trí của các dây AM; AN của đường tròn (B) và (C) sao cho đoạn MN có độ dài lớn nhất.
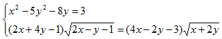
Câu 5 (1 điểm)
Giải Hệ phương trình: 