Giao diện mới của VnDoc Pro: Dễ sử dụng hơn - chỉ tập trung vào lớp bạn quan tâm. Vui lòng chọn lớp mà bạn quan tâm: Lưu và trải nghiệm
Đóng
Điểm danh hàng ngày
  • Hôm nay +3
  • Ngày 2 +3
  • Ngày 3 +3
  • Ngày 4 +3
  • Ngày 5 +3
  • Ngày 6 +3
  • Ngày 7 +5
Bạn đã điểm danh Hôm nay và nhận 3 điểm!
Nhắn tin Zalo VNDOC để nhận tư vấn mua gói Thành viên hoặc tải tài liệu Hotline hỗ trợ: 0936 120 169

Đề thi tuyển sinh lớp 10 THPT tỉnh Phú Thọ năm học 2013 - 2014 môn Toán (Có đáp án)

Lớp: Lớp 10
Loại File: PDF
Phân loại: Tài liệu Tính phí

Nhằm giúp các bạn chuẩn bị thật tốt kiến thức để làm bài thi đạt hiệu quả cao, Vndoc.com xin giới thiệu: Đề thi tuyển sinh lớp 10 THPT tỉnh Phú Thọ năm học 2013 - 2014 môn Toán (Có đáp án).

Đề thi tuyển sinh lớp 10 môn Toán:

SỞ GIÁO DỤC VÀ ĐÀO TẠO
PHÚ THỌ

ĐỀ THI CHÍNH THỨC

KỲ THI TUYỂN SINH VÀO LỚP 10 THPT
NĂM HỌC 2013 - 2014

MÔN THI: TOÁN
Thời gian làm bài: 120 phút (không kể thời gian giao đề)

Câu 1

a) Tính: Đề thi tuyển sinh lớp 10 THPT tỉnh Phú Thọ năm học 2013 - 2014 môn Toán

b) Trong các hình sau: hình vuông; hình bình hành; hình chữ nhật; hình thang cân. Những hình nào có hai đường chéo bằng nhau

Câu 2

a) Giải phương trình: 2x2 - 7x + 3 = 0

b) Giải hệ phương trình: Đề thi tuyển sinh lớp 10 THPT tỉnh Phú Thọ năm học 2013 - 2014 môn Toán

Câu 3

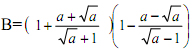
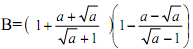
a) Rút gọn Đề thi tuyển sinh lớp 10 THPT tỉnh Phú Thọ năm học 2013 - 2014 môn Toán

b) Cho phương trình: x2 + 2(m+1)x + m2 = 0. Tìm m để phương trình có 2 nghiệm phân biệt, trong đó có 1 nghiệm = -2

Câu 4

Cho đường tròn tâm O đường kính AB = 2R. Gọi I là trung điểm của OA vẽ dây NM vuông góc với BA tại I. Trên cung nhỏ BM lấy điểm C (C khác M và B), AC cắt MN tại D. Chứng minh rằng:

a) Tứ giác BIDC nội tiếp

b) AD.AC = R2

c) Khi C chạy trên cung nhỏ BM thì tâm đường tròn nội tiếp ΔDCM luôn thuộc 1 đường tròn cố định.

Câu 5

Cho 2 số thực dương x, y. Tìm GTNN của Đề thi tuyển sinh lớp 10 THPT tỉnh Phú Thọ năm học 2013 - 2014 môn Toán

Chú ý:

- Nếu PC của bạn không đọc được file PDF, hãy tải phần mềm Foxit Reader để cài đặt

- Bạn sử dụng iPhone, iPad,... chạy hệ điều hành iOS có thể tải Foxit Mobile PDF Lite for iOS

- Bạn sử dụng điện thoại hệ điều hành Android thì tải phần mềm Adobe Reader for Android, MultiReader (Android) 0.8.4, eLibris eReader for Android

Chọn file muốn tải về:
Đóng Chỉ thành viên VnDoc PRO/PROPLUS tải được nội dung này!
Đóng
79.000 / tháng
Đặc quyền các gói Thành viên
PRO
Phổ biến nhất
PRO+
Tải tài liệu Cao cấp 1 Lớp
30 lượt tải tài liệu
Xem nội dung bài viết
Trải nghiệm Không quảng cáo
Làm bài trắc nghiệm không giới hạn
Mua cả năm Tiết kiệm tới 48%
30

Có thể bạn quan tâm

Xác thực tài khoản!

Theo Nghị định 147/2024/ND-CP, bạn cần xác thực tài khoản trước khi sử dụng tính năng này. Chúng tôi sẽ gửi mã xác thực qua SMS hoặc Zalo tới số điện thoại mà bạn nhập dưới đây:

Số điện thoại chưa đúng định dạng!
Số điện thoại này đã được xác thực!
Bạn có thể dùng Sđt này đăng nhập tại đây!
Lỗi gửi SMS, liên hệ Admin
Sắp xếp theo
🖼️

Lớp 10

Xem thêm
🖼️

Gợi ý cho bạn

Xem thêm