Giao diện mới của VnDoc Pro: Dễ sử dụng hơn - chỉ tập trung vào lớp bạn quan tâm. Vui lòng chọn lớp mà bạn quan tâm: Lưu và trải nghiệm
Đóng
Điểm danh hàng ngày
  • Hôm nay +3
  • Ngày 2 +3
  • Ngày 3 +3
  • Ngày 4 +3
  • Ngày 5 +3
  • Ngày 6 +3
  • Ngày 7 +5
Bạn đã điểm danh Hôm nay và nhận 3 điểm!
Nhắn tin Zalo VNDOC để nhận tư vấn mua gói Thành viên hoặc tải tài liệu Hotline hỗ trợ: 0936 120 169

Đề thi tuyển sinh lớp 10 THPT tỉnh Phú Yên năm học 2012 - 2013 môn Toán

Lớp: Lớp 9
Môn: Toán
Loại File: Word + PDF
Phân loại: Tài liệu Tính phí

Để chuẩn bị cho kỳ thi vào cấp 3 sắp tới, Vndoc.com xin gửi đến các bạn: Đề thi tuyển sinh lớp 10 THPT tỉnh Phú Yên năm học 2012 - 2013 môn Toán. Tài liệu này bao gồm đề thi và đáp án, giúp các bạn tự ôn tập kiến thức, luyện thi vào lớp 10 môn Toán. Mời các bạn cùng tham khảo.

Đề thi tuyển sinh lớp 10 môn Toán

SỞ GIÁO DỤC VÀ ĐÀO TẠO
TỈNH PHÚ YÊN

(ĐỀ THI CHÍNH THỨC)

KỲ THI TUYỂN SINH LỚP 10 THPT NĂM HỌC 2012-2013
Môn thi: TOÁN

Thời gian làm bài: 120 phút, không kể thời gian giao đề

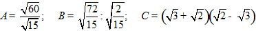
Câu 1. (1,5 điểm)

Không dùng máy tính cầm tay, hãy tính giá trị các biểu thức:

Câu 2. (1,5 điểm)

Giải phương trình và hệ phương trình sau:

a) { 2x + 3y = -1/2 b) 2x2 + 5x - 3 = 0
2x - y = 3/2

Câu 3. (1,5 điểm)

Cho hai hàm số y = 2x2 và y = x + 1.

a) Vẽ đồ thị của các hàm số trên cùng một mặt phẳng tọa độ.

b) Tìm tọa độ hai giao điểm A, B của các đồ thị hàm số trên bằng phép tính.

Câu 4. (2,0 điểm)

Giải bài toán bằng cách lập phương trình hoặc hệ phương trình:

Trong một ngày, một quầy tạp hóa bán được 100 quả trứng. Số trứng bán được vào buổi sáng và số trứng bán được vào buổi chiều không bằng nhau nhưng số tiền thu được bằng nhau. Nếu số trứng bán ra buổi chiều được bán với giá bán buổi sáng thì số tiền thu được là 180 ngàn đồng. Ngược lại, số trứng bán ra buổi sáng nếu được bán với giá bán buổi chiều thì chỉ thu được 80 ngàn đồng.

Hỏi mỗi buổi quầy tạp hóa đã bán được bao nhiêu quả trứng?

Câu 5. (3,5 điểm)

Cho đường tròn (O;R) có hai bán kính OA, OB cố định, vuông góc nhau. Gọi C là điểm di động trên cung nhỏ AB (C khác A,B). Gọi H là hình chiếu vuông góc của điểm A lên đường thẳng BC.

a) Chứng minh rằng OAHB là tứ giác nội tiếp. Tính diện tích hình tròn đường kính AB theo R.

b) Gọi K là giao điểm của HA và BO. Chứng minh rằng KH.KA = KB.KO.

c) Chứng minh rằng tam giác CHA cân.

d) Tìm tập hợp các điểm H khi điểm C di chuyển trên cung nhỏ AB.

Chọn file muốn tải về:
Đóng Chỉ thành viên VnDoc PRO/PROPLUS tải được nội dung này!
Đóng
79.000 / tháng
Đặc quyền các gói Thành viên
PRO
Phổ biến nhất
PRO+
Tải tài liệu Cao cấp 1 Lớp
30 lượt tải tài liệu
Xem nội dung bài viết
Trải nghiệm Không quảng cáo
Làm bài trắc nghiệm không giới hạn
Mua cả năm Tiết kiệm tới 48%

Có thể bạn quan tâm

Xác thực tài khoản!

Theo Nghị định 147/2024/ND-CP, bạn cần xác thực tài khoản trước khi sử dụng tính năng này. Chúng tôi sẽ gửi mã xác thực qua SMS hoặc Zalo tới số điện thoại mà bạn nhập dưới đây:

Số điện thoại chưa đúng định dạng!
Số điện thoại này đã được xác thực!
Bạn có thể dùng Sđt này đăng nhập tại đây!
Lỗi gửi SMS, liên hệ Admin
Sắp xếp theo
🖼️

Đề thi vào 10 môn Toán

Xem thêm
🖼️

Gợi ý cho bạn

Xem thêm