Đề thi tuyển sinh lớp 10 THPT tỉnh Quảng Bình năm học 2012 - 2013 môn Toán - Mã đề 012 (Có đáp án)
Để chuẩn bị cho kỳ thi vào cấp 3 sắp tới, Vndoc.com xin gửi đến các bạn: Đề thi tuyển sinh lớp 10 THPT tỉnh Quảng Bình năm học 2012 - 2013 môn Toán - Mã đề 012 (Có đáp án).
Đề thi tuyển sinh lớp 10 môn Toán:
SỞ GIÁO DỤC VÀ ĐÀO TẠO
|
KỲ THI TUYỂN SINH VÀO LỚP 10 THPT
|
MÔN THI: TOÁN - MÃ ĐỀ: 012
Thời gian làm bài: 150 phút (không kể thời gian giao đề)
--------------------------------------------------------------------------------
Câu 1: (2,0 điểm)
Cho biểu thức: ![]()
a) Rút gọn biểu thức B.
b) Tìm tất cả các giá trị nguyên của x để biểu thức B có giá trị nguyên.
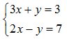
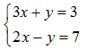
Câu 2: (1,5 điểm)
Giải hệ phương trình sau: 
Câu 3: (2,0 điểm)
a) Giải phương trình: x2 - 2x - 3 = 0
b) Cho phương trình bậc hai: x2 - 2x + m = 0 (m là tham số).
Tìm m để phương trình có hai nghiệm x1, x2 và thoả mãn: x12 + x22 = 8
Câu 4: (1,0 điểm)
Cho các số thực a, b thoả mãn: x + y = 2
Tìm giá trị nhỏ nhất của biểu thức: Q = x3 + y3 + x2 + y2.
Câu 5: (3,5 điểm)
Cho tam giác ABC đều có AH là đường cao, N là điểm bất kì trên cạnh BC (N khác B, C). Từ N vẽ NE vuông góc AC, NF vuông góc AC (E thuộc AB, F thuộc AC).
a) Chứng minh: A, E, N, H, F cùng nằm trên một đường tròn.
b) Gọi O là trung điểm của AN. Chứng minh các tam giác OEH và OFH là tam giác đều, từ đó suy ra OH vuông góc EF.
c) Tìm giá trị nhỏ nhất của đoạn EF khi N chạy trên cạnh BC, biết độ dài cạnh của tam giác ABC là a.