Đề thi tuyển sinh lớp 10 THPT tỉnh Quảng Ngãi năm học 2013 - 2014 môn Toán
Vndoc.com xin giới thiệu đến các bạn lớp 9, chuẩn bị thi lên lớp 10: Đề thi tuyển sinh lớp 10 THPT tỉnh Quảng Ngãi năm học 2013 - 2014 môn Toán.
Đề thi tuyển sinh lớp 10 môn Toán:
SỞ GIÁO DỤC VÀ ĐÀO TẠO
|
KỲ THI TUYỂN SINH VÀO LỚP 10 THPT
|
Câu 1: (1,5 điểm)
1) Tính: ![]()
2) Chứng minh rằng với x > 0 và x # 1 thì 
3) Cho hàm số bậc nhất: y = (2m + 1)x - 6
a) Với giá trị nào của m thì hàm số dã cho nghịch biến trên R?
b) Tìm m để đồ thị của hàm số đã cho đi qua điểm A(1; 2).
Câu 2: (2,0 điểm)
1) Giải phương trình: 2x2 + 3x - 5 = 0
2) Tìm giá trị của tham số m để phương trình: x2 + mx + m - 2 = 0 có hai nghiệm x1, x2 thoả mãn hệ thức |x1 - x2| = 2
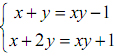
3) Giải hệ phương trình: 
Câu 3: (2,0 điểm)
Một tổ công nhân dự định làm xong 240 sản phẩm trong một thời gian nhất định. Nhưng khi thực hiện, nhờ cải tiến kĩ thuật nên mỗi ngày tổ đã làm tăng thêm 10 sản phẩm so với dự định. Do đó, tổ đã hoàn thành công việc sớm hơn dự định 2 ngày. Hỏi khi thực hiện, mỗi ngày tổ đã làm được bao nhiêu sản phẩm?
Câu 4: (3,5 điểm)
Cho đường tròn (O) cố định. Từ một điểm A cố định ở bên ngoài đường tròn (O), kẻ các tiếp tuyến AM và AN với đường tròn (M; N là các tiếp điểm). Đường thẳng đi qua A cắt đường tròn (O) tại hai điểm B và C ( B nằm giữa A và C). Gọi I là trung điểm của dây BC.
1) Chứng minh rằng: AMON là tứ giác nội tiếp.
2) Gọi K là giao điểm của MN và BC. Chứng minh rằng: AK.AI = AB.AC
3) Khi các tuyến ABC thay đổi thì điểm I chuyển động trên cung tròn nào? Vì sao?
4) Xác định vị trí của cát tuyến ABC để IM = 2IN.
Câu 5. (1,0 điểm)
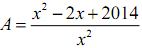
Với x # 0, tìm giá trị nhỏ nhất của biểu thức: ![]()