Giao diện mới của VnDoc Pro: Dễ sử dụng hơn - chỉ tập trung vào lớp bạn quan tâm. Vui lòng chọn lớp mà bạn quan tâm: Lưu và trải nghiệm
Đóng
Điểm danh hàng ngày
  • Hôm nay +3
  • Ngày 2 +3
  • Ngày 3 +3
  • Ngày 4 +3
  • Ngày 5 +3
  • Ngày 6 +3
  • Ngày 7 +5
Bạn đã điểm danh Hôm nay và nhận 3 điểm!
Nhắn tin Zalo VNDOC để nhận tư vấn mua gói Thành viên hoặc tải tài liệu Hotline hỗ trợ: 0936 120 169

Đề thi tuyển sinh lớp 10 THPT tỉnh Quảng Ninh năm học 2013 - 2014 môn Toán

Lớp: Lớp 10
Loại File: PDF
Phân loại: Tài liệu Tính phí

Đề chuẩn bị cho kỳ thi vào cấp 3 sắp tới, Vndoc.com xin gửi đến các bạn: Đề thi tuyển sinh lớp 10 THPT tỉnh Quảng Ninh năm học 2013 - 2014 môn Toán.

Đề thi tuyển sinh lớp 10 môn Toán:

SỞ GIÁO DỤC VÀ ĐÀO TẠO
QUẢNG NINH

ĐỀ THI CHÍNH THỨC

KỲ THI TUYỂN SINH VÀO LỚP 10 THPT
NĂM HỌC 2013 - 2014

MÔN THI: TOÁN
Ngày thi:
28/06/2013
Thời gian làm bài: 120 phút (không kể thời gian giao đề)

Bài 1 (2,0 điểm).

1. Tính: Đề thi tuyển sinh lớp 10 THPT tỉnh Quảng Ninh năm học 2013 - 2014 môn Toán

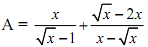
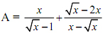
2. Rút gọn biểu thức: Đề thi tuyển sinh lớp 10 THPT tỉnh Quảng Ninh năm học 2013 - 2014 môn Toán Với x > 0; x # 1

3. Xác định hệ số a để hàm số y = ax – 5 cắt trục hoành tại điểm có hoành độ bằng 1,5.

Bài 2 (2,0 điểm).

1. Tìm tọa độ giao điểm của đồ thị hàm số y = x2 với đồ thị hàm số y = - 5x + 6.

2. Cho phương trình: x2 – 3x – 2m2 = 0 (1) với m là tham số. Tìm các giá trị của m để phương trình (1) có hai nghiệm x1; x2 thỏa mãn điều kiện x12 = 4x22

Bài 3 (2,0 điểm).

Giải bài toán sau bằng cách lập phương trình hoặc hệ phương trình. Hai người thợ cùng làm một công việc trong 6 giờ thì xong. Nếu người thứ nhất làm 3 giờ và người thứ hai làm 6 giờ thì họ làm được một phần tư công việc. Hỏi mỗi người thợ làm một mình thì trong bao nhiêu giờ mới xong công việc đó.

Bài 4 (3,5 điểm).

Cho đường tròn (O) và điểm A nằm bên ngoài đường tròn (O). Kẻ hai tiếp tuyến AB, AC với đường tròn (O), (B,C là các tiếp điểm).

a, Chứng minh tứ giác ABOC nội tiếp.

b, Qua B kẻ đường thẳng song song với AO, cắt đường tròn (O) tại điểm thứ hai E. Chứng minh ba điểm C,O,E thẳng hàng.

c, Gọi I là giao điểm của đoạn thẳng AO với đường tròn (O), chứng minh I là tâm đường tròn nội tiếp tam giác ABC. Tính bán kính đường tròn nội tiếp tam giác ABC khi OB = 2 cm, OA = 4 cm.

d, Trên cung nhỏ BC của đường tròn (O) lấy điểm M tùy ý (M # B,C). Kẻ MD vuông góc với BC, MS vuông góc với CA, MT vuông góc với AB (R, S, T là chân các đường vuông góc). Chứng minh: MS.MT = MR2

Bài 4 (0,5 điểm).

Cho các số thực x, y, z thỏa mãn: Đề thi tuyển sinh lớp 10 THPT tỉnh Quảng Ninh năm học 2013 - 2014 môn Toán

Tính giá trị biểu thức: Đề thi tuyển sinh lớp 10 THPT tỉnh Quảng Ninh năm học 2013 - 2014 môn Toán

Chọn file muốn tải về:
Đóng Chỉ thành viên VnDoc PRO/PROPLUS tải được nội dung này!
Đóng
79.000 / tháng
Đặc quyền các gói Thành viên
PRO
Phổ biến nhất
PRO+
Tải tài liệu Cao cấp 1 Lớp
30 lượt tải tài liệu
Xem nội dung bài viết
Trải nghiệm Không quảng cáo
Làm bài trắc nghiệm không giới hạn
Mua cả năm Tiết kiệm tới 48%
14

Có thể bạn quan tâm

Xác thực tài khoản!

Theo Nghị định 147/2024/ND-CP, bạn cần xác thực tài khoản trước khi sử dụng tính năng này. Chúng tôi sẽ gửi mã xác thực qua SMS hoặc Zalo tới số điện thoại mà bạn nhập dưới đây:

Số điện thoại chưa đúng định dạng!
Số điện thoại này đã được xác thực!
Bạn có thể dùng Sđt này đăng nhập tại đây!
Lỗi gửi SMS, liên hệ Admin
Sắp xếp theo
🖼️

Lớp 10

Xem thêm
🖼️

Gợi ý cho bạn

Xem thêm