Đề thi tuyển sinh lớp 10 THPT tỉnh Quảng Trị năm học 2012 - 2013 môn Toán
Vndoc.com xin giới thiệu đến các bạn lớp 9, chuẩn bị thi lên lớp 10: Đề thi tuyển sinh lớp 10 THPT tỉnh Quảng Trị năm học 2012 - 2013 môn Toán.
Đề thi tuyển sinh lớp 10 môn Toán:
SỞ GIÁO DỤC VÀ ĐÀO TẠO
|
KỲ THI TUYỂN SINH LỚP 10 THPT
|
Câu 1: (2 điểm)
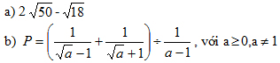
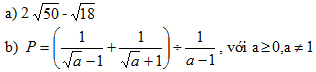
1. Rút gọn các biểu thức (không dùng máy tính cầm tay):

2. Giải hệ phương trình (không dùng máy tính cầm tay): ![]()
Câu 2: (1,5 điểm)
Gọi x1, x2 là hai nghiệm của phương trình. Không giải phương trình, tính giá trị các biểu thức sau:
a, x1 + x2
c, x12 + x22
Câu 3: (1,5 điểm)
Trên mặt phảng tọa độ, gọi (P) là đồ thị hàm số y = x2
a, Vẽ (P)
b, Tìm tọa độ giao điểm của (P) và đường thẳng d: y = -2x+3
Câu 4: (1,5 điểm)
Hai xe khởi hành cùng một lúc đi từ địa điểm A đến địa điểm B cách nhau 100km. Xe thứ nhất chạy nhanh hơn xe thứ hai 10km/h nên đã đến B sớm hơm 30 phút, Tính vận tốc mỗi xe.
Câu 5: (3,5 điểm)
Cho đường tròn (O). Đường thẳng (d) không đi qua tâm (O) cắt đường tròn tại hai điểm A và B theo thứ tự, C là điểm thuộc (d) ở ngoài đường tròn (O). Vẽ đường kính PQ vuông góc với dây AB tại D ( P thuộc cung lớn AB), Tia CP cắt đường tròn (O) tại điểm thứ hai là I, AB cắt IQ tại K.
a. Chứng minh tứ giác PDKI nội tiếp đường tròn.
b. Chứng minh CI.CP = CK.CD
c. Chứng minh IC là phân giác của góc ngoài ở đỉnh I của tam giác AIB.
d. Cho ba điểm A, B, C cố định. Đường tròn (O) thay đổi nhưng vẫn đi qua A và B. Chứng minh rằng IQ luôn đi qua một điểm cố định.