Đề thi tuyển sinh lớp 10 THPT tỉnh Thái Bình năm học 2012 - 2013 môn Toán
Vndoc.com xin giới thiệu đến các bạn lớp 9, chuẩn bị thi lên lớp 10: Đề thi tuyển sinh lớp 10 THPT tỉnh Thái Bình năm học 2012 - 2013 môn Toán.
Đề thi tuyển sinh lớp 10 môn Toán:
SỞ GIÁO DỤC VÀ ĐÀO TẠO
|
KỲ THI TUYỂN SINH VÀO LỚP 10 THPT
|
Bài 1. (2,0 điểm)
1) Tính:![]()
2) Cho biểu thức: ![]()
a. Rút gọn B.
b. Tìm x để giá trị của B là một số nguyên.
Bài 2. (2,0 điểm)
Cho phương trình: x2 – 4x + m + 1 = 0 (m là tham số).
1) Giải phương trình với m = 2.
2) Tìm m để phương trình có hai nghiệm trái dấu (x1 < 0 < x2). Khi đó nghiệm nào có giá trị tuyệt đối lớn hơn?
Bài 3. (2,0 điểm):
Trong mặt phẳng toạ độ Oxy cho parabol (P): y = -x2 và đường thẳng (d): y = mx + 2 (m là tham số).
1) Tìm m để (d) cắt (P) tại một điểm duy nhất.
2) Cho hai điểm A(-2; m) và B(1; n). Tìm m, n để A thuộc (P) và B thuộc (d).
3) Gọi H là chân đường vuông góc kẻ từ O đến (d). Tìm m để độ dài đoạn OH lớn nhất.
Bài 4. (3,5 điểm)
Cho đường tròn (O), dây cung BC (BC không là đường kính). Điểm A di động trên cung nhỏ BC (A khác B và C; độ dài đoạn AB khác AC). Kẻ đường kính AA’ của đường tròn (O), D là chân đường vuông góc kẻ từ A đến BC. Hai điểm E, F lần lượt là chân đường vuông góc kẻ từ B, C đến AA’. Chứng minh rằng:
1) Bốn điểm A, B, D, E cùng nằm trên một đường tròn.
2) BD.AC = AD.A’C.
3) DE vuông góc với AC.
4) Tâm đường tròn ngoại tiếp tam giác DEF là một điểm cố định.
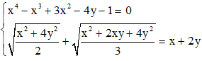
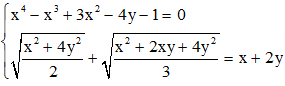
Bài 5. (0,5 điểm):
Giải hệ phương trình: 