Đề thi tuyển sinh lớp 10 THPT tỉnh Thừa Thiên Huế năm học 2012 - 2013 môn Toán - Có đáp án
Để chuẩn bị cho kỳ thi vào cấp 3 sắp tới, Vndoc.com xin gửi đến các bạn: Đề thi tuyển sinh lớp 10 THPT tỉnh Thừa Thiên Huế năm học 2012 - 2013 môn Toán - Có đáp án.
Đề thi tuyển sinh lớp 10 môn Toán:
SỞ GIÁO DỤC VÀ ĐÀO TẠO
|
KỲ THI TUYỂN SINH LỚP 10 THPT
|
Bài 1: (2,0 điểm)
a) Cho biểu thức:
. Chứng tỏ: C = √3
b) Giải phương trình: ![]()
Bài 2: (2,0 điểm)
Cho hàm số y = x2 có đồ thị (P) và đường thẳng (d) đi qua điểm M (1;2) có hệ số góc k # 0.
a/ Chứng minh rằng với mọi giá trị k # 0. đường thẳng (d) luôn cắt (P) tại hai điểm phân biệt A và B.
b/ Gọi xA và xB là hoành độ của hai điểm A và B.Chứng minh rằng: xA + xB - xA.xB - 2 = 0
Bài 3: (2,0 điểm)
a/ Một xe lửa đi từ ga A đến ga B. Sau đó 1 giờ 40 phút, một xe lửa khác đi từ ga A đến ga B với vận tốc lớn hơn vận tốc của xe lửa thứ nhất là 5 km/h. Hai xe lửa gặp nhau tại một ga cách ga B 300 km. Tìm vận tốc của mỗi xe, biết rằng quãng đường sắt từ ga A đến ga B dài 645 km.
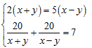
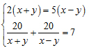
b/ Giải hệ phương trình: 
Bài 4: (3,0 điểm)
Cho nửa đường tròn (O) đường kính BC. Lấy điểm A trên tia đối của tia CB.Kẻ tiếp tuyến AF với nửa đường tròn (O) (F là tiếp điểm), tia AF cắt tia tiếp tuyến Bx của nửa đường tròn (O) tại D (tia tiếp tuyến Bx nằm trong nửa mặt phẳng bờ BC chứa nửa đường tròn (O)). Gọi H là giao điểm của BF với DO; K là giao điểm thứ hai của DC với nửa đường tròn (O).
a/ Chứng minh rằng: AO.AB = AF.AD.
b/ Chứng minh tứ giác KHOC nội tiếp.
c/ Kẻ OM vuông góc BC (M thuộc đoạn thẳng AD). Chứng minh ![]()
Bài 5: (1,0 điểm)
Cho hình chử nhật OABC, góc COB = 30o.Gọi CH là đường cao của tam giác COB, CH = 20 cm. Khi hình chữ nhật OABC quay một vòng quanh cạnh OC cố định ta được một hình trụ, khi đó tam giác OHC tạo thành hình (H).Tính thể tích của phần hình trụ nằm bên ngoài hình (H). (Cho π2 ~ 3,1416)
