Giao diện mới của VnDoc Pro: Dễ sử dụng hơn - chỉ tập trung vào lớp bạn quan tâm. Vui lòng chọn lớp mà bạn quan tâm: Lưu và trải nghiệm
Đóng
Điểm danh hàng ngày
  • Hôm nay +3
  • Ngày 2 +3
  • Ngày 3 +3
  • Ngày 4 +3
  • Ngày 5 +3
  • Ngày 6 +3
  • Ngày 7 +5
Bạn đã điểm danh Hôm nay và nhận 3 điểm!
Nhắn tin Zalo VNDOC để nhận tư vấn mua gói Thành viên hoặc tải tài liệu Hotline hỗ trợ: 0936 120 169

Đề thi tuyển sinh lớp 10 THPT tỉnh Vĩnh Long năm học 2012 - 2013 môn Toán

Lớp: Lớp 10
Loại File: Word
Phân loại: Tài liệu Tính phí

Nhằm giúp các bạn chuẩn bị thật tốt kiến thức đề làm bài thi đạt hiệu quả cao, Vndoc xin giới thiệu: Đề thi tuyển sinh lớp 10 THPT tỉnh Vĩnh Long năm học 2012 - 2013 môn Toán.

Đề thi tuyển sinh lớp 10 tỉnh Vĩnh Long:

SỞ GIÁO DỤC VÀ ĐÀO TẠO
VĨNH LONG

ĐỀ THI CHÍNH THỨC

KỲ THI TUYỂN SINH VÀO LỚP 10 THPT
NĂM HỌC 2012 - 2013

MÔN THI: TOÁN
Thời gian làm bài: 120 phút (không kể thời gian giao đề)

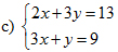
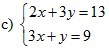
Câu 1: (2,5 điểm)

Giải phương trình và hệ phương trình:

a) 2x – 1 = 3

b) x2 - 12x + 35 = 0

Đề thi tuyển sinh lớp 10 THPT tỉnh Vĩnh Long năm học 2012 - 2013 môn Toán

Câu 2: (2,5 điểm)

a) Vẽ đường thẳng (d): y = 2x – 1

b) Chứng minh rằng đường thẳng (d) tiếp xúc với parabol (P): y = x2

c) Tìm a và b để đường thẳng (d’): y = ax + b song song với đường thẳng (d) và đi qua điểm M(0; 2).

Câu 3: (1,0 điểm)

Tìm tham, số thực m để phương trình x2 – 2mx + m – 1 = 0 có một nghiệm bằng 0. Tính nghiệm còn lại.

Câu 4: (1,0 điểm)

Rút gọn biểu thức: Đề thi tuyển sinh lớp 10 THPT tỉnh Vĩnh Long năm học 2012 - 2013 môn Toán

Câu 5: (2 điểm)

Cho tam giác ABC có ba góc nhọn nội tiếp trong đường tròn tâm O. Gọi AH và BK lần lượt là các đường cao của tam giác ABC.

a) Chứng minh tứ giác AKHB nội tiếp đường tròn. Xác định tâm của đường tròn này

b) Gọi (d) là tiếp tuyến với đường tròn (O) tại C. Chứng minh rằng góc ABH = HKC và HK vuông góc OC.

Câu 6: (1 điểm)

Tính diện tích xung quanh và thể tích của một hình nón có đường kính đường tròn đáy d = 24 (cm) và độ dài đường sinh l = 20(cm).

Chọn file muốn tải về:
Đóng Chỉ thành viên VnDoc PRO/PROPLUS tải được nội dung này!
Đóng
79.000 / tháng
Đặc quyền các gói Thành viên
PRO
Phổ biến nhất
PRO+
Tải tài liệu Cao cấp 1 Lớp
30 lượt tải tài liệu
Xem nội dung bài viết
Trải nghiệm Không quảng cáo
Làm bài trắc nghiệm không giới hạn
Mua cả năm Tiết kiệm tới 48%
25

Có thể bạn quan tâm

Xác thực tài khoản!

Theo Nghị định 147/2024/ND-CP, bạn cần xác thực tài khoản trước khi sử dụng tính năng này. Chúng tôi sẽ gửi mã xác thực qua SMS hoặc Zalo tới số điện thoại mà bạn nhập dưới đây:

Số điện thoại chưa đúng định dạng!
Số điện thoại này đã được xác thực!
Bạn có thể dùng Sđt này đăng nhập tại đây!
Lỗi gửi SMS, liên hệ Admin
Sắp xếp theo
🖼️

Lớp 10

Xem thêm
🖼️

Gợi ý cho bạn

Xem thêm