Đề thi tuyển sinh lớp 10 THPT tỉnh Vĩnh Phúc năm học 2012 - 2013 môn Toán - Có đáp án
Vndoc.com xin giới thiệu đến các bạn lớp 9, chuẩn bị thi lên lớp 10: Đề thi tuyển sinh lớp 10 THPT tỉnh Vĩnh Phúc năm học 2012 - 2013 môn Toán - Có đáp án.
Đề thi tuyển sinh lớp 10 môn Toán:
SỞ GIÁO DỤC VÀ ĐÀO TẠO
|
KỲ THI TUYỂN SINH LỚP 10 THPT
|
Câu 1 (2,0 điểm).
Cho biểu thức: ![]()
a. Tìm điều kiện xác định của biểu thức P.
b. Rút gọn P
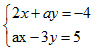
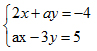
Câu 2 (2,0 điểm).
Cho hệ phương trình: 
a. Giải hệ phương trình với a=1
b. Tìm a để hệ phương trình có nghiệm duy nhất.
Câu 3 (2,0 điểm).
Một hình chữ nhật có chiều rộng bằng một nửa chiều dài. Biết rằng nếu giảm mỗi chiều đi 2m thì diện tích hình chữ nhật đã cho giảm đi một nửa. Tính chiều dài hình chữ nhật đã cho.
Câu 4 (3,0 điểm).
Cho đường tròn (O;R) (điểm O cố định, giá trị R không đổi) và điểm M nằm bên ngoài (O). Kẻ hai tiếp tuyến MB, MC (B,C là các tiếp điểm ) của (O) và tia Mx nằm giữa hai tia MO và MC. Qua B kẻ đường thẳng song song với Mx, đường thẳng này cắt (O) tại điểm thứ hai là A. Vẽ đường kính BB’ của (O). Qua O kẻ đường thẳng vuông góc với BB’,đường thẳng này cắt MC và B’C lần lượt tại K và E. Chứng minh rằng:
a. 4 điểm M, B, O, C cùng nằm trên một đường tròn.
b. Đoạn thẳng ME = R.
c. Khi điểm M di động mà OM = 2R thì điểm K di động trên một đường tròn cố định, chỉ rõ tâm và bán kính của đường tròn đó.
Câu 5 (1,0 điểm).
Cho a,b,c là các số dương thỏa mãn a+ b + c =4. Chứng minh rằng: ![]()