Đề thi tuyển sinh lớp 10 THPT TP Cần Thơ năm học 2012 - 2013 môn Toán - Có đáp án
Vndoc.com xin giới thiệu đến các bạn lớp 9, chuẩn bị thi lên lớp 10: Đề thi tuyển sinh lớp 10 THPT TP Cần Thơ năm học 2012 - 2013 môn Toán - Có đáp án.
Đề thi tuyển sinh lớp 10 môn Toán:
SỞ GIÁO DỤC VÀ ĐÀO TẠO
|
KỲ THI TUYỂN SINH LỚP 10 THPT
|
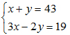
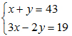
Câu 1: (2,0 điểm)
Giải hệ phương trình, các phương trình sau đây:
1. 
2. |x + 5| = 2x - 18
3. x2 - 12x + 36 = 0
4. ![]()
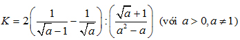
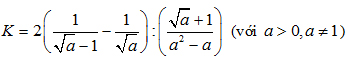
Câu 2: (1,5 điểm)
Cho biểu thức: 
1. Rút gọn biểu thức K.
2. Tìm a để K = √2012.
Câu 3: (1,5 điểm)
Cho phương trình (ẩn số x): x2 - 4x - m2 + 3 = 0 (*).
1. Chứng minh phương trình (*) luôn có hai nghiệm phân biệt với mọi m.
2. Tìm giá trị của m để phương trình (*) có hai nghiệm x1, x2 thỏa x2 = - 5x1.
Câu 4: (1,5 điểm)
Một ô tô dự định đi từ A đến B cách nhau 120 km trong một thời gian quy định. Sau khi đi được 1 giờ thì ô tô bị chặn bởi xe cứu hỏa 10 phút. Do đó để đến B đúng hạn xe phải tăng vận tốc thêm 6 km/h. Tính vận tốc lúc đầu của ô tô.
Câu 5: (3,5 điểm)
Cho đường tròn (O), từ điểm ở ngoài đường tròn vẽ hai tiếp tuyến AB và AC (B, C là các tiếp điểm). OA cắt BC tại E.
1. Chứng minh tứ giác ABOC nội tiếp.
2. Chứng minh BC vuông góc với OA và BA.BE = AE.BO.
3. Gọi I là trung điểm của BE, đường thẳng qua I và vuông góc OI cắt các tia AB, AC theo thứ tự tại D và F. Chứng minh góc IDO = BCO và ΔDOFcân tại O.
4. Chứng minh F là trung điểm của AC