Đề thi tuyển sinh vào lớp 10 môn Toán chuyên trường THPT Chuyên Hùng Vương, Phú Thọ năm 2016 - 2017
Đề thi tuyển sinh vào lớp 10 môn Toán chuyên
Đề thi tuyển sinh vào lớp 10 môn Toán chuyên trường THPT Chuyên Hùng Vương, Phú Thọ năm 2016 - 2017 có đáp án được VnDoc sưu tầm và đăng tải nhằm giúp các em học sinh có thêm nhiều tài liệu ôn thi vào lớp 10 môn Toán để tham khảo chuẩn bị tốt cho kì thi tuyển sinh sắp tới đây đạt kết quả cao. Mời các em cùng tham khảo.
Đề thi tuyển sinh vào lớp 10 THPT môn Toán sở GD&ĐT thành phố Hồ Chí Minh năm 2016 - 2017 (Chuyên)
Đề thi tuyển sinh vào lớp 10 THPT môn Ngữ văn sở GD&ĐT Thanh Hóa năm 2016 - 2017
| SỞ GIÁO DỤC VÀ ĐÀO TẠO PHÚ THỌ | KỲ THI TUYỂN SINH VÀO LỚP 10 TRUNG HỌC PHỔ THÔNG CHUYÊN HÙNG VƯƠNG NĂM HỌC 2016-2017 Môn thi: Toán (Dành cho thí sinh thi vào lớp Chuyên Toán) Thời gian làm bài: 150 phút, không kể thời gian giao đề. Đề thi có 01 trang |
Câu 1 (2,0 điểm)
a) Cho các số a, b thỏa mãn 2a2 + 11ab - 3b2 = 0, b ≠ 2a, b ≠ -2a. Tính giá trị biểu thức
.
b) Cho các số nguyên dương x, y, z và biểu thức
.
Chứng minh rằng P là số nguyên chia hết cho 6.
Câu 2 (2,0 điểm)
a) Tìm các số nguyên x, y thỏa mãn 2x3 + 2x2y + x2 + 2xy = x + 10.
b) Cho 19 điểm phân biệt nằm trong một tam giác đều có cạnh bằng 3, trong đó không có 3 điểm nào thẳng hàng. Chứng minh rằng luôn tìm được một tam giác có 3 đỉnh là 3 trong 19 điểm đã cho mà có diện tích không lớn hơn √3/4
Câu 3 (2,0 điểm)
a) Giải phương trình
.
b) Giải hệ phương trình 
Câu 4 (3,0 điểm)
Cho đường tròn (O, R) và dây cung BC cố định. Gọi A là điểm di động trên cung lớn BC sao cho tam giác ABC nhọn. Bên ngoài tam giác ABC dựng các hình vuông ABDE, ACFG và hình bình hành AEKG.
a) Chứng minh rằng AK = BC và AK ⊥ BC.
b) DC cắt BF tại M. Chứng minh rằng A, K, M thẳng hàng.
c) Chứng minh rằng khi thay đổi A trên cung lớn BC của (O, R) thì luôn thuộc một đường tròn cố định.
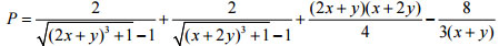
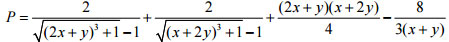
Câu 5 (1,0 điểm)
Cho các số dương x, y. Tìm giá trị nhỏ nhất của biểu thức
![]()
Đáp án đề thi tuyển sinh vào lớp 10 môn Toán chuyên
Đề thi tuyển sinh vào lớp 10 môn Toán thành phố Hà Nội năm học 2016 - 2017



