Đề thi tuyển sinh vào lớp 10 môn Toán sở GD&ĐT Cần Thơ năm 2015 - 2016
Đề thi tuyển sinh vào lớp 10 môn Toán
Đề thi tuyển sinh vào lớp 10 môn Toán sở GD&ĐT Cần Thơ năm 2015 - 2016 có đáp án được VnDoc.com sưu tầm và giới thiệu tới các bạn học sinh nhằm giúp các em học sinh có thêm nhiều tài liệu ôn thi vào lớp 10 môn Toán hiệu quả. Mời các em cùng tham khảo.
Đề thi thử vào lớp 10 lần 1 môn Ngữ văn trường THCS Lạc Viên, Hải Phòng năm 2015 - 2016
Đề thi thử vào lớp 10 môn Toán phòng GD&ĐT Thành Tân, Thanh Hóa năm 2014 - 2015
| SỞ GD – ĐT TP CẦN THƠ | ĐỀ THI TUYỂN SINH VÀO LỚP 10 Năm học: 2015 - 2016 Môn Toán Thời gian: 120 phút |
Đề chính thức
Câu 1: (2,5 điểm)
1) Giải các phương trình và hệ phương trình trên tập số thực:
a) 2x2 - 3x - 27 = 0
b) x4 - x2 - 72 = 0

Câu 2: (1,5 điểm) Trong mặt phẳng với hệ tọa độ Oxy, cho (P):y = -1/2 x2
a) Vẽ đồ thị của (P).
b) Gọi A(x1, y1) và B(x2;y2) là hoành độ giao điểm của (P) và (d): y = x – 4.
Chứng minh: y1 + y2 -5(x1 + x2) = 0
Câu 3: (1,5 điểm) Cho phương trình x2 - ax - b2 + 5 = 0
a) GPT khi a = b = 3
b) Tính 2a3 + 3b4 biết phương trình nhận x1 = 3, x2= -9 làm nghiệm.
Câu 4: (1,5 điểm) Nhân ngày quốc tế thiếu nhi, 13 HS ( nam và nữ) tham gia gói 80 phần quà cho các em thiếu nhi. Biết tổng số quà mà HS nam gói được bằng tổng số quà mà HS nữ gói được. Số quà mỗi bạn nam gói nhiều hơn số quà mà mỗi bạn nữ gói là 3 phần. Tính số HS nam và nữ.
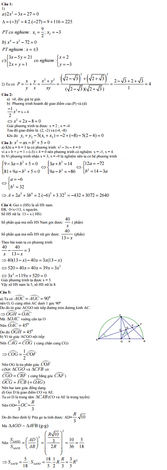
Câu 5: (3 điểm)
Cho nửa đường tròn tâm O, đường kính AB =2R. Đường thẳng qua O và vuông góc AB cắt cung AB tại C. Gọi E là trung điểm BC. AE cắt nửa đường tròn O tại F. Đường thẳng qua C và vuông góc AF tại G cắt AB tại H.

Đáp án đề thi tuyển sinh vào lớp 10 môn Toán
