Đề thi tuyển sinh vào lớp 10 môn Toán trường THPT Chuyên KHTN năm học 2017 - 2018
Đề thi tuyển sinh vào lớp 10 môn Toán
Đề thi tuyển sinh vào lớp 10 môn Toán trường THPT Chuyên KHTN năm học 2017 - 2018 là đề thi vào lớp 10 môn Toán năm 2017 được VnDoc sưu tầm và giới thiệu tới các em học sinh để thêm tài liệu tham khảo ôn tập và củng cố thêm kiến thức chuẩn bị cho kì thi tuyển sinh sắp tới đây. Chúc các bạn thành công!
Đề thi tuyển sinh vào lớp 10 môn Toán Sở GD&ĐT thành phố Hồ Chí Minh năm học 2017 - 2018
Đề thi tuyển sinh vào lớp 10 môn Toán Sở GD&ĐT Ninh Bình năm học 2017 - 2018
Đề thi tuyển sinh vào lớp 10 môn Toán (chuyên) Sở GD&ĐT Tây Ninh năm học 2017 - 2018

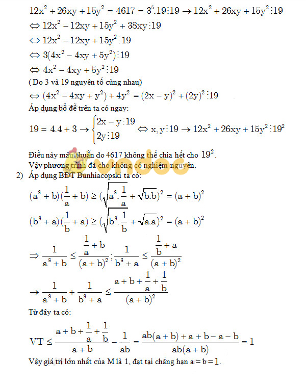
Đáp án đề thi tuyển sinh vào lớp 10 môn Toán





