Đề thi và đáp án môn Toán khối D 2009
VnDoc.com xin giới thiệu Đề thi và đáp án môn Toán khối D năm 2009 do Bộ Giáo dục và Đào tạo chính thức phát hành. Tài liệu này bao gồm đề thi và đáp án được trình bày rõ ràng, giúp các bạn học sinh tự ôn tập và kiểm tra. Mời các bạn tải về để tham khảo.
ĐỀ THI ĐẠI HỌC MÔN TOÁN KHỐI D NĂM 2009
|
BỘ GIÁO DỤC VÀ ĐÀO TẠO
|
ĐỀ THI TUYỂN SINH ĐẠI HỌC NĂM 2009 Môn: TOÁN; Khối: D Thời gian làm bài: 180 phút, không kể thời gian phát đề |
PHẦN CHUNG CHO TẤT CẢ THÍ SINH (7,0 điểm)
Câu I (2,0 điểm)
Cho hàm số y = x4 - (3m + 2)x2 + 3m có đồ thị là (Cm), m là tham số.
1. Khảo sát sự biến thiên và vẽ đồ thị của hàm số đã cho khi m = 0.
2. Tìm m để đường thẳng y = -1 cắt đồ thị (Cm) tại 4 điểm phân biệt đều có hoành độ nhỏ hơn 2.
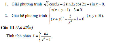
Câu II (2,0 điểm)

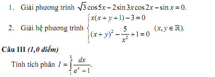
Câu IV (1,0 điểm)
Cho hình lăng trụ đứng ABC.A'B'C' có đáy ABC là tam giác vuông tại B, AB = a, AA' = 2a, A'C = 3a. Gọi M là trung điểm của đoạn thẳng A'C', I là giao điểm của AM và A'C. Tính theo a thể tích khối tứ diện IABC và khoảng cách từ điểm A đến mặt phẳng (IBC).
Câu V (1,0 điểm)
Cho các số thực không âm x, y thay đổi và thoả mãn x + y = 1. Tìm giá trị lớn nhất và giá trị nhỏ nhất của biểu thức S = (4x2 + 3y)(4y2 + 3x) + 25xy.
PHẦN RIÊNG (3,0 điểm)
Thí sinh chỉ được làm một trong hai phần (phần A hoặc B)
A. Theo chương trình Chuẩn
Câu VI.a (2,0 điểm)
1. Trong mặt phẳng với hệ toạ độ Oxy, cho tam giác ABC có M (2;0) là trung điểm của cạnh AB. Đường trung tuyến và đường cao qua đỉnh A lần lượt có phương trình là 7x - 2y - 3 = 0 và 6x - y - 4 = 0. Viết phương trình đường thẳng AC.
2. Trong không gian với hệ toạ độ Oxyz, cho các điểm A(2;1;0), B(1;2;2), C(1;1;0) và mặt phẳng (P): x + y + z - 20 = 0. Xác định tọa độ điểm D thuộc đường thẳng AB sao cho đường thẳng CD song song với mặt phẳng (P).
Câu VII.a (1,0 điểm)
Trong mặt phẳng toạ độ Oxy, tìm tập hợp điểm biểu diễn các số phức z thoả mãn điều kiện | z - (3 - 4i)| = 2
B. Theo chương trình Nâng cao
Câu VI.b (2,0 điểm)

---------- Hết ----------
Thí sinh không được sử dụng tài liệu. Cán bộ coi thi không giải thích gì thêm.
Họ và tên thí sinh:.............................................; Số báo danh:................................