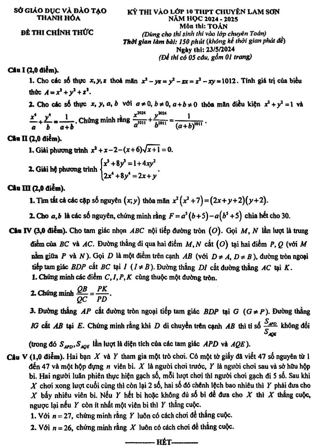
Đề thi vào lớp 10 môn Toán (chuyên) trường THPT chuyên Lam Sơn, Thanh Hóa năm 2024 - 2025
Đề thi tuyển sinh lớp 10 môn Toán
Lớp:
Ôn vào 10
Môn:
Toán
Dạng tài liệu:
Đề thi
Loại:
Tài liệu Lẻ
Loại File:
PDF
Phân loại:
Tài liệu Tính phí


Đề thi tuyển sinh vào lớp 10 môn Toán (chuyên) trường THPT chuyên Lam Sơn, Thanh Hóa năm học 2024 - 2025
VnDoc.com xin gửi tới các bạn Đề thi tuyển sinh vào lớp 10 môn Toán (chuyên) trường THPT chuyên Lam Sơn, Thanh Hóa năm học 2024 - 2025 để bạn đọc cùng tham khảo. Đây là tài liệu hay cho các bạn ôn luyện, chuẩn bị cho kì thi tuyển sinh vào lớp 10 sắp tới. Mời các bạn cùng tham khảo chi tiết và tải về bài viết dưới đây nhé.