Giao diện mới của VnDoc Pro: Dễ sử dụng hơn - chỉ tập trung vào lớp bạn quan tâm. Vui lòng chọn lớp mà bạn quan tâm: Lưu và trải nghiệm
Đóng
Điểm danh hàng ngày
  • Hôm nay +3
  • Ngày 2 +3
  • Ngày 3 +3
  • Ngày 4 +3
  • Ngày 5 +3
  • Ngày 6 +3
  • Ngày 7 +5
Bạn đã điểm danh Hôm nay và nhận 3 điểm!
Nhắn tin Zalo VNDOC để nhận tư vấn mua gói Thành viên hoặc tải tài liệu Hotline hỗ trợ: 0936 120 169

Đề thi Violympic Toán lớp 4 vòng 18 năm 2015 - 2016

Lớp: Lớp 4
Loại File: Word + PDF
Phân loại: Tài liệu Tính phí

Đề thi Violympic Toán lớp 4 vòng 18

Đề thi Violympic Toán lớp 4 vòng 18 năm 2015 - 2016 là đề thi giải Toán qua mạng dành cho học sinh lớp 4 diễn ra ngày 25/03/2016. Đề thi Toán có đáp án đi kèm, hi vọng giúp các em học sinh ôn tập và củng cố kiến thức, nhằm đạt kết quả cao trong các vòng tiếp theo của cuộc thi Violympic giải Toán qua mạng năm học 2015 - 2016.

Đề thi Violympic Toán lớp 4 vòng 16 năm 2015 - 2016

Đề thi Violympic Toán lớp 4 vòng 17 năm 2015 - 2016

Mời làm: Đề thi Violympic Toán lớp 4 vòng 18 năm 2015 - 2016 trực tuyến

Bài 1: Cóc vàng tài ba

Câu 1.1: Trong các số: 1250; 4570; 7650; 7240, số chia hết cho cả 2; 3; 5 và 9 là:

a. 7650 b. 4570 c. 1250 d. 7240

Câu 1.2: Tính: 342 x 230 = ........

a. 786660 b. 78660 c. 78600 d. 7866

Câu 1.3: Bao thứ nhất có 15kg gạo, bao thứ hai có 25kg gạo. Tỉ số giữa số gạo trong bao thứ hai so với bao thứ nhất là:

a. 15/25 b. 5/8 c. 3/5 d. 5/3

Câu 1.4: Hai ngăn có tất cả 64 quyển sách. Số sách ở ngăn trên bằng 3/5 số sách ở ngăn dưới. Tính số sách ở ngăn dưới.

a. 18 quyển b. 24 quyển c. 40 quyển d. 32 quyển

Câu 1.5: Tính: 7/5 x 12/35 + 7/5 x 18/35 + 7/5 x 1/7 = ............

a. 7/35 b. 7/5 c. 5/7 d. 35/7

Câu 1.6: Tính: 102 x 356 – 652 – 60 = ..........

a. 3560 b. 356 c. 356000 d. 35600

Câu 1.7: Tính: 275 : 25 + 125 : 25 – 150 : 25 = ..........

a. 250 b. 10 c. 400 d. 100

Câu 1.8: Tính: 125 x 13 x 24 : 25 : 4 = ........

a. 3900 b. 390 c. 39000 d. 3900000

Câu 1.9: Cho A = 12 x 22 x 32 x ..... x 2002. Chữ số tận cùng của A là: ......

a. 6 b. 8 c. 2 d. 4

Câu 1.10: Cho 4 chữ số: 1; 2; 3; 6. Viết được tất cả bao nhiêu số có ba chữ số khác nhau chia hết cho 3 từ 4 chữ số đã cho?

a. 9 số b. 12 số c. 24 số d. 6 số

Bài 2: Vượt chướng ngại vật

Câu 2.1: Tỉ số của hai số là 4/5. Tổng của hai số là 963. Tìm số lớn.

Câu 2.2: 3dm2 24cm2 = ......... cm2.

Câu 2.3: Tìm một số tự nhiên có 3 chữ số, biết rằng nếu viết thêm chữ số 2 vào bên trái số cần tìm thì được số mới mà tổng của số mới và số cần tìm là 2714.

Câu 2.4: Vườn nhà bác An có 3 loại cây ăn quả: cam, xoài, bưởi, tổng cộng là 224 cây. Số cây xoài chiếm 1/7 số cây trong vườn; số cây cam bằng 3/5 số cây bưởi. Hỏi trong vườn nhà bác An có bao nhiêu cây bưởi?

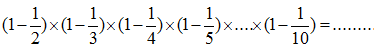
Câu 2.5: Tính: Đề thi Violympic toán lớp 4 vòng 18

Bài 3: Hãy điền số thích hợp vào chỗ chấm

Câu 3.1: Tìm X biết: 325 x X = 13650

Câu 3.2: Tổng số học sinh của khối 4 và khối 5 của một trường là 288 học sinh. Số học sinh khối 4 bằng 4/5 số học sinh khối 5. Tính số học sinh khối 5.

Câu 3.3: Tính: 472 x 206 = .......

Câu 3.4: An đọc một quyển truyện dày 120 trang. Số trang đã đọc bằng 3/5 số trang chưa đọc. Hỏi bạn An còn phải đọc bao nhiêu trang nữa thì xong quyển sách đó?

Câu 3.5: Tổng của hai số là số lớn nhất có ba chữ số khác nhau mà các chữ số đó đều là số lẻ. Số thứ nhất gấp rưỡi số thứ hai. Tìm số thứ hai.

Câu 3.6: Tìm x biết: 9/14 – x/7 : 5/3 = 3/14

Câu 3.7: Một mảnh vườn hình chữ nhật có chu vi là 300m. Chiều dài bằng 3/2 chiều rộng. Người ta trồng rau lên mảnh vườn đó. Tính ra cứ 100m2 thì thu hoạch được 65kg rau. Tính khối lượng rau thu hoạch được trên mảnh vườn đó.

Câu 3.8: Trung bình cộng của tất cả các số lẻ liên tiếp từ 15 đến 2011 là: .......

Câu 3.9: Tìm x biết: Đề thi violympic toán lớp 4 vòng 18

Câu 3.10: Tìm x biết: (x – 273)x(1 + 3 + 5 + ....+ 2015) = 0.

Đáp án đề thi Violympic Toán lớp 4 vòng 18

Bài 1: Cóc vàng tài ba

Câu 1.1: a

Câu 1.2: b

Câu 1.3: d

Câu 1.4: c

Câu 1.5: b

Câu 1.6: d

Câu 1.7: b

Câu 1.8: b

Câu 1.9: d

Câu 1.10: b

Bài 2: Vượt chướng ngại vật

Câu 2.1: 535

Câu 2.2: 324

Câu 2.3: 357

Câu 2.4: 120

Câu 2.5: 1/10

Bài 3: Hãy điền số thích hợp vào chỗ chấm

Câu 3.1: 42

Câu 3.2: 160

Câu 3.3: 97232

Câu 3.4: 75

Câu 3.5: 390

Câu 3.6: 5

Câu 3.7: 3510

Câu 3.8: 1013

Câu 3.9: 7

Câu 3.10: 273

Mời quý thầy cô và các bạn học sinh tham khảo Đề thi Violympic lớp 4 vòng 18 một cách chân thực hơn qua đoạn video dưới đây của chuẩn bị tốt cho vòng thi sắp tới đây.

Chọn file muốn tải về:
Đóng Chỉ thành viên VnDoc PRO/PROPLUS tải được nội dung này!
Đóng
79.000 / tháng
Đặc quyền các gói Thành viên
PRO
Phổ biến nhất
PRO+
Tải tài liệu Cao cấp 1 Lớp
30 lượt tải tài liệu
Xem nội dung bài viết
Trải nghiệm Không quảng cáo
Làm bài trắc nghiệm không giới hạn
Mua cả năm Tiết kiệm tới 48%

Có thể bạn quan tâm

Xác thực tài khoản!

Theo Nghị định 147/2024/ND-CP, bạn cần xác thực tài khoản trước khi sử dụng tính năng này. Chúng tôi sẽ gửi mã xác thực qua SMS hoặc Zalo tới số điện thoại mà bạn nhập dưới đây:

Số điện thoại chưa đúng định dạng!
Số điện thoại này đã được xác thực!
Bạn có thể dùng Sđt này đăng nhập tại đây!
Lỗi gửi SMS, liên hệ Admin
Sắp xếp theo
🖼️

Toán lớp 4

Xem thêm
🖼️

Gợi ý cho bạn

Xem thêm