Đề thi Violympic Toán lớp 5 vòng 1 năm 2017 - 2018
Đề thi Violympic Toán lớp 5 vòng 1
Đề thi Violympic Toán lớp 5 vòng 1 năm học 2017 - 2018 được VnDoc sưu tầm biên soạn giúp các em học sinh ôn tập, củng cố kiến thức tự rèn các dạng bài tập Toán tự tin làm các bài thi bài kiểm tra luyện thi Violympic lớp 5 đạt kết quả cao. Sau đây mời các em cùng tham khảo và tải về.
Đề thi Violympic Toán lớp 5 vòng 1 năm học 2017 - 2018
I. SẮP XẾP


II. ĐẬP DẾ
Câu 1: Tìm số lớn nhất biết hiệu hai số là 253. Nếu lấy số lớn trừ đi 3 lần số bé thì được 25. Số cần tìm là …
A. 481 B. 139 C. 367 D. 114
Câu 2: Tìm x biết x là số lẻ chia hết cho 5 và 438 < x < 449
A. 445 B. 440 C. 448 D. 447
Câu 3: Hình bình hành ABCD có cạnh AB = 5/3 BC. Biết cạnh AB dài hơn cạnh BC là 1dm. Hỏi chu vi hình bình hành là bao nhiêu xăng - ti – mét?
Trả lời: Chu vi hình bình hành đó là … cm.
A. 8 B. 80 C. 40 D. 16
Câu 4: Một miếng bìa hình chữ nhật có chu vi gấp 5 lần chiều rộng. Nếu tăng chiều rộng thêm 9cm, tăng chiều dài thêm 4cm thì miếng bìa trở thành một hình vuông. Diện tích miếng bìa ban đầu là …
A. 75cm2 B. 150cm2 C. 1242cm2 D. 100cm2
Câu 5: An có 50 viên bi. Bình có nhiều hơn An 9 viên bi nhưng lại ít hơn Cường 9 viên bi. Hỏi trung bình mỗi bạn có bao nhiêu viên bi?
Trả lời: Trung bình mỗi bạn có … viên bi.
A. 53 B. 56 C. 59 D. 50
Câu 6: Một người rào xung quanh khu đất hình chữ nhật có chiều dài 28m, chiều rộng 15m hết 43 chiếc cọc. Hỏi người đó rào xung quanh khu đất hình vuông có cạnh 25m thì hết bao nhiêu chiếc cọc? Biết khoảng cách giữa 2 cọc là như nhau.
Trả lời: Số cọc cần tìm là …
A. 86 B. 50 C. 172 D. 25
Câu 7: Tìm số liền trước của số tự nhiên chẵn lớn nhất có 5 chữ số khác nhau.
Trả lời: Số cần tìm là …
A. 98765 B. 98764 C. 98763 D. 99997
Câu 8: Hai tấm vải dài 115m. Người ta đã bán 4/5 tấm vải thứ hai và 7/11 tấm vải thứ nhất. Biết số vải còn lại ở tấm thứ hai ít hơn số vải còn lại ở tấm thứ nhất là 8m. Tấm vải thứ hai dài là:
A. 55 B. 70 C. 65 D. 60
Câu 9: Một tấm bìa hình bình hành có chu vi 4dm. Chiều dài hơn chiều rộng 10cm và bằng 3/5 chiều cao. Tính diện tích tấm bìa đó.
Trả lời: Diện tích tấm bìa đó là … cm2.
A. 375 B. 144/5 C. 15 D. 135
Câu 10: Hoa tính tổng tất cả các số chẵn từ 2 đến 100. Lan tính tổng tất cả các số lẻ từ 1 đến 99. Sau đó Mai lấy kết quả của Hoa trừ đi kết quả của Lan. Hỏi Mai sẽ nhận được kết quả là bao nhiêu?
Trả lời: Mai sẽ nhận được kết quả là …
A. 2500 B. 50 C. 2550 D. 5080
Câu 11: Với 4 chữ số 0; 5; 7; 2 viết được bao nhiêu số lẻ có 3 chữ số khác nhau chia hết cho 5?
A. 4 B. 6 C. 5 D. 9
Câu 12: Tìm diện tích của 1/3 tấm bìa hình vuông có cạnh dài 1/2 m.
Trả lời: Diện tích của tấm bìa đó là … m2.
A. 2/3 B. 1/12 C. 3/4 D. 1/4
Câu 13: Hiệu hai số bằng 1/5 lần số bé. Tổng hai số là số tròn chục lớn nhất có 3 chữ số. Tìm số lớn.
Trả lời: Số lớn là …
A. 90 B. 450 C. 540 D. 825
Câu 14: Phân số nào dưới đây có giá trị nhỏ hơn 2?
A. 23/12 B. 22/11 C. 21/10 D. 20/9
Câu 15: Bao thứ nhất đựng 12kg gạo. Bao thứ hai đựng 16kg gạo. Hỏi bao thứ ba đựng bao nhiêu ki - lô - gam gạo biết trung bình mỗi bao đựng được 15kg gạo?
Trả lời: Bao thứ ba đựng … kg gạo.
A. 17 B. 13 C. 43 D. 28
Câu 16: Năm nay, tuổi cô hơn 4 lần tuổi cháu là 2 tuổi. Khi tuổi cháu bằng tuổi cô hiện nay thì tổng số tuổi của 2 cô cháu là 94 tuổi. Tính tuổi cô hiện nay.
Trả lời: Tuổi cô hiện nay là … tuổi.
A. 34 B. 58 C. 32 D. 60
Câu 17: Tìm hiệu hai số biết nếu số bị trừ tăng thêm 135 và số trừ bớt đi 205 thì hiệu hai số lúc này là 542.
Trả lời: Hiệu hai số là …
A. 882 B. 712 C. 372 D. 202
Câu 18: Cho một số có 2 chữ số có tích 2 chữ số là 15. Hỏi tổng các chữ số của số đó là bao nhiêu?
Trả lời: Tổng các chữ số của số đó là …
A. 8 B. 7 C. 4 D. 6
Câu 19: Một hình chữ nhật được chia thành 12 hình vuông bằng nhau và được xếp thành 3 hàng. Hỏi chu vi của hình chữ nhật là bao nhiêu nếu chu vi của mỗi hình vuông nhỏ là 12cm?
Trả lời: Chu vi hình chữ nhật đó là … cm.
A. 432 B. 42 C. 108 D. 144
Câu 20: Cho dãy số 6; 16; 26; 36; …; 2016. Hỏi dãy số trên có bao nhiêu chữ số?
Trả lời: Dãy số trên có … chữ số.
A. 697 B. 696 C. 391 D. 202
Câu 21: Một hình thoi có đường chéo thứ nhất là 3/5 m và bằng 2/3 đường chéo thứ hai. Tính diện tích hình thoi đó.
Trả lời: Diện tích hình thoi đó là … m2.
A. 6/25 B. 27/100 C. 27/50 D. 27/5
Câu 22: Cho phân số 15/19. Tìm số a sao cho khi bớt tử số và mẫu số của phân số đã cho cùng số a thì được phân số mới có giá trị bằng 7/9.
Trả lời: Số a cần tìm là …
A. 1 B. 13 C. 105 D. 12
Câu 23: Tìm số thứ hai biết số thứ nhất bằng 4/7 số thứ hai, bằng 3/8 số thứ ba và kém số thứ ba 60 đơn vị.
Trả lời: Số thứ hai là …
A. 36 B. 28 C. 63 D. 96
Câu 24: Cha hơn con 28 tuổi. Hỏi năm cha bao nhiêu tuổi thì 3 lần tuổi cha bằng 7 lần tuổi con?
Trả lời: Tuổi cha khi đó là … tuổi.
A. 36 B. 56 C. 21 D. 49
Câu 25: Tìm số thứ hai biết 5/8 số thứ hai bằng 3/4 số thứ nhất và số thứ hai hơn số thứ nhất 36 đơn vị.
Trả lời: Số thứ hai là …
A. 216 B. 186 C. 180 D. 9
III. ĐIỀN SỐ THÍCH HỢP
Câu 1: Khi nhân một số với 374, một học sinh đã đặt các tích riêng thẳng cột như trong phép cộng nên tìm ra kết quả là 4172. Tìm tích đúng của phép nhân đó.
Trả lời: Tích đúng của phép nhân đó là ……………
Câu 2: Tính tổng của các số có 3 chữ số, các số đều chia 5 dư 3.
Trả lời: Tổng các số đó là ……………
Câu 3: Có bao nhiêu số có 4 chữ số khác nhau viết bởi các chữ số 0; 1; 2; 3; 4; 5; 6?
Trả lời: Số các số có 4 chữ số khác nhau là …………...
Câu 4: Tìm một số biết số đó chia 8 dư 5, chia 12 dư 1, hai thương hơn kém nhau 13 đơn vị.
Trả lời: Số phải tìm là …………....
Câu 5: Tìm số có năm chữ số biết số đó chia hết cho cả 2; 5 và 9.
Trả lời: Số cần tìm là …………....
Câu 6: Trong một phép chia, số chia là 68, thương là 92 và số dư là số dư lớn nhất có thể được của phép chia đó. Tìm số bị chia.
Trả lời: Số bị chia là …………....
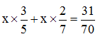
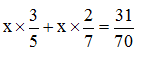
Câu 7: Tìm x:

Trả lời: x = …….......
(Viết kết quả dưới dạng số thập phân gọn nhất)
Câu 8: Một lớp học có 45 học sinh, trong đó có 28 học sinh thích học môn Toán, 20 học sinh thích học môn Tiếng Việt và 3 học sinh không thích cả hai môn Toán và Tiếng Việt. Hỏi có bao nhiêu học sinh thích cả Toán và Tiếng Việt?
Trả lời: Số học sinh thích học cả Toán và Tiếng Việt là ……… bạn.
Câu 9: Tìm số tự nhiên lớn nhất có 5 chữ số mà khi chia số đó cho 2016 có thương và số dư bằng nhau.
Trả lời: Số tự nhiên cần tìm là …………....
Câu 10: Khi tuổi anh bằng tuổi em hiện nay thì tuổi anh gấp rưỡi tuổi em. Khi tuổi em bằng tuổi anh hiện nay thì tổng số tuổi của hai anh em là 45 tuổi. Tính tuổi anh hiện nay.
Trả lời: Tuổi anh hiện nay là ……… tuổi.
Câu 11: Giá trị biểu thức: 34288 : 16 + 257 135 là ……………
Câu 12: Tích của hai số là 15228. Nếu thêm 6 đơn vị vào số thứ nhất thì tích mới sẽ là 15510. Tìm số thứ nhất.
Trả lời: Số thứ nhất là …………..
Câu 13: Tổng hai số tự nhiên là 1644. Nếu xóa chữ số hàng đơn vị của số lớn ta được số bé. Tìm số lớn.
Trả lời: Số lớn là ………….
Câu 14: Một hộp có 100 viên bi trong đó có 25 viên màu xanh, 25 viên màu đỏ, 25 viên màu vàng và 25 viên màu trắng. Không nhìn vào hộp, cần phải lấy ra ít nhất bao nhiêu viên bi để số bi lấy ra chắc chắn có không ít hơn 8 viên bi cùng màu.
Trả lời: Phải lấy ra ít nhất ……… viên bi.
Câu 15: Hiện nay anh 24 tuổi, em 16 tuổi. Hỏi trước đây mấy năm tuổi em bằng 3/5 tuổi anh?
Trả lời: Tuổi em bằng 3/5 tuổi anh trước đây ……… năm.
Câu 16: Một phép chia có số chia là số chẵn nhỏ nhất có 3 chữ số khác nhau, thương là số lẻ nhỏ nhất có hai chữ số khác nhau với số dư là số chẵn nhỏ nhất có hai chữ số giống nhau. Số bị chia của phép chia đó là ………….
Câu 17: Trên cây có 32 con chim đang đậu ở hai cành cây. Có 4 con từ cành dưới bay lên cành trên và 6 con bay từ cành trên xuống cành dưới, lúc đó số chim ở cành trên bằng 3/5 số chim ở cành dưới. Hỏi lúc đầu cành dưới có bao nhiêu con chim?
Trả lời: Lúc đầu cành dưới có ……….. con chim.
Câu 18: Trong vườn có chưa đến 50 cây ăn quả, trong đó có 1/12 số cây chanh, 1/6 số cây xoài, 1/16 số cây táo, còn lại là cây na.
Trả lời: Trong vườn có ……….. cây na.
Câu 19: Một hình vuông có diện tích bằng 4/9 diện tích của một hình bình hành có đáy 25cm và chiều cao 9cm. Tính cạnh của hình vuông.
Trả lời: Cạnh hình vuông đó dài ……… cm.
Câu 20: Khi chia một số tự nhiên có 4 chữ số cho tổng các chữ số của số đó thì được thương lớn nhất là bao nhiêu?
Trả lời: Thương lớn nhất là ………...
Câu 21: Tổng của ba số là 410. Tìm số thứ ba biết 2/5 số thứ nhất bằng 1/4 số thứ hai và bằng 4/15 số thứ ba.
Trả lời: Số thứ ba là ……….
Câu 22: Năm 2016, 1/7 tuổi mẹ bằng 1/2 tuổi con. Mẹ sinh con năm mẹ 30 tuổi. Hãy tính năm sinh của mẹ.
Trả lời: Năm sinh của mẹ là ………..
Câu 23: Tìm số liền sau của số tự nhiên chẵn lớn nhất có 5 chữ số khác nhau.
Trả lời: Số đó là …………...
Câu 24: Tìm số bị chia trong phép chia cho 25 biết thương là 23 và số dư là số dư lớn nhất của phép chia đó.
Trả lời: Số bị chia là ………...
Câu 25: Tổng của hai số lẻ là 98. Tìm số lớn biết giữa chúng có 6 số chẵn.
Trả lời: Số lớn là ……….
Câu 26: Mỗi buổi sáng, bác Mai tập thể dục bằng cách cứ đi tiến 9 bước rồi lại lùi 1 bước. Hỏi sau khi đi được tất cả 2016 bước thì bác Mai đã cách xa điểm xuất phát bao nhiêu bước?
Trả lời: Bác Mai cách xa điểm xuất phát …………. bước.