Đề thi Violympic Toán Tiếng Anh lớp 5 vòng 2 năm 2015 - 2016
Đề thi Violympic Toán Tiếng Anh lớp 5 vòng 2
Đề thi Violympic Toán Tiếng Anh lớp 5 vòng 2 năm 2015 - 2016 là đề thi giải Toán bằng Tiếng Anh qua mạng dành cho học sinh lớp 5 có đáp án đi cùng được VnDoc sưu tầm và giới thiệu tới các em học sinh hi vọng giúp các em ôn tập và củng cố kiến thức, nhằm đạt kết quả cao trong các vòng tiếp theo của cuộc thi Violympic giải Toán Tiếng Anh qua mạng năm học 2015 - 2016.
Đề thi Violympic Toán Tiếng Anh lớp 5 vòng 1 năm 2015 - 2016
Đề thi Violympic Toán Tiếng Anh lớp 5 vòng 2 năm 2015 - 2016 trực tuyến
Question 1: Find equal values. (Tìm các cặp giá trị bằng nhau)

Question 2:
Question 2.1: Compare 7/9 .......... 2/3
Fill in the blank with the suitable sign (>, <, =)
Question 2.2: If 209/143 = (209 : n)/13 then n = .............
Question 2.3: 
The correct number fill in the box is ..............
Question 2.4: Complete the table (Write your answer in the simplest form).

Rule: divide by 4/5
Question 2.5: Write the equivalent fraction of 3/8 with a denominator of 1000.
Question 2.6: The perimeter of the square below is ............ cm. (Simplify your answer)

Question 2.7: The sum of two numbers is 156 and their ratio is 6/7. The smaller number is ............
Question 2.8: Convert: 2 tons 40kg = .................kg.
Question 2.9: The last digit of the product 11 x 22 x 33 x ..... x 99 is ............
Question 2.10: The sum of two numbers is the greatest 4-digit number and their ratio is 1 : 2. The smaller number is ..............
Question 3:
Question 3.1: Which of the following fractions is the greatest?
A. 3/10 B. 2/5 C. 9/20 D. 7/20
Question 3.2:
. The missing number is .............
A. 440 B. 420 C. 4200 D. 4400
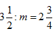
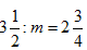
Question 3.3: If
then m = .............
A. 5/2 B. 14/11 C. 6(3/8) D. 77/8
Question 3.4: The value of
is ..............
A. 3/97 B. 5/97 C. 5/99 D. 33
Đáp án đề thi Violympic Toán Tiếng Anh lớp 5 vòng 2
Question 1: Find equal values.
(2) = (10); (4) = (12); (5) = (1); (8) = (6); (9) = (16); (11) = (17); (13) = (7); (14) = (19); (15) = (18); (20) = (3
Question 2:
Question 2.1: > Question 2.2: 11 Question 2.3: 125 Question 2.4: 2 Question 2.5: 375
Question 2.6: 6 Question 2.7: 72 Question 2.8: 2040 Question 2.9: 0 Question 2.10: 3333
Question 3:
Question 3.1: C
Question 3.2: D
Question 3.3: B
Question 3.4: D