Đề thi Violympic Toán Tiếng Anh lớp 5 vòng 2 năm 2016 - 2017
Đề thi Violympic Toán Tiếng Anh lớp 5 vòng 2
Đề thi Violympic Toán Tiếng Anh lớp 5 vòng 2 năm 2016 - 2017 là đề thi giải Toán bằng Tiếng Anh qua mạng dành cho học sinh lớp 5 có đáp án đi cùng được VnDoc sưu tầm và giới thiệu tới các em học sinh hi vọng giúp các em ôn tập và củng cố kiến thức, nhằm đạt kết quả cao trong các vòng tiếp theo của cuộc thi Violympic giải Toán Tiếng Anh qua mạng năm học 2016 - 2017.
Đề thi Violympic Toán Tiếng Anh lớp 5 vòng 3 năm 2015 - 2016
Đề thi Violympic Toán Tiếng Anh lớp 5 vòng 4 năm 2015 - 2016
Đề thi Violympic Toán Tiếng Anh lớp 5 vòng 2 năm 2016 - 2017
Bài 1: Chọn các giá trị theo thứ tự tăng dần

Bài 2: Đi tìm kho báu
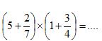
Câu 1: Calculate: ![]()
Câu 2: Calculate: 2/5 - 2/10=....
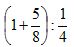
Câu 3: Calculate ![]()
Câu 4: Write >; =; < ![]()
Câu 5: Calculate: 
Câu 6: Convert: 25mm2 =... cm2
Bài 3: Cóc vàng tài ba
Câu 1: How many natural numbers are not greater than 2016?
a) 2014; b) 2015; c) 2016; d) 2017
Câu 2: The ratio of two numbers is 3 : 7 and their sum is the smallest 3 - digit number. Their difference is....
a) 10; b) 30; c) 40; d) 70
Câu 3: How many 3 - digit even numbers?
a) 440; b) 450; c) 510; d) 500
Câu 4: Find the greatest fraction: 1/3; 2/4; 1/4; 3/15
a) 2/4; b) 1/3; c) 1/4; d) 3/15
Câu 5: Calculate (1 + 2/5) x 6/7 =...
a) 2/7; b) 3; c) 12/35; d) 6/5
Câu 6: Calculate 7 + 3/5
a) 22/5; b) 21/5; c) 35/5; d) 38/5
Câu 7: The difference of two numbers is 157. Their ratio is 3/2. Find the greater number?
a) 314; b) 471; c) 451; d) 785
Câu 8: Miken bought 17 pens and he had to pay $51. How much do 30 pens of the same kind cost?
a) $90; b) $30; c) $120; d) $51
Câu 9: If 2a456b is divisible by 2; 3; 5 and 9 then a + b =...
a) 0; b) 1; c) 4; d) 2
Câu 10: The sum of even numbers from 16 to 56 is...
a) 789; b) 756; c) 359; d) 72
Đáp án đề thi Violympic Toán Tiếng Anh lớp 5 vòng 2
Bài 1: Chọn các giá trị theo thứ tự tăng dần
(8) < (16) < (4) < (5) < (1) < (9) < (18) < (14) < (7) < (3) < (17) < (11) < (10) < (19) < (13) < (20) < (15) < (6) < (2)
Bài 2: Đi tìm kho báu
Câu 1: 15 Câu 2: 3/10 Câu 3: 13/2
Câu 4: >; = Câu 5: 9,25 Câu 6: 0,25
Bài 3: Cóc vàng tài ba
Câu 1: d Câu 2: c Câu 3: b Câu 4: a Câu 5: d
Câu 6: d Câu 7: b Câu 8: a Câu 9: b Câu 10: b