Đề và đáp án thi vào lớp 10 môn Toán trường Chuyên Yên Bái năm 2012 - 2013
Đề và đáp án thi vào lớp 10 môn Toán trường Chuyên Yên Bái năm 2012 - 2013 bao gồm đề thi và hướng dẫn giải chi tiết cho đề thi vào lớp 10 môn Toán trường chuyên tỉnh Yên Bái. Đây là tài liệu hữu ích nhằm ôn thi vào lớp 10 chuyên. Mời các bạn cùng tham khảo.
ĐỀ THI VÀ ĐÁP ÁN THI VÀO LỚP 10 CHUYÊN YÊN BÁI
Đề và HD chấm thi chuyên toán THPT Yên Bái năm học 2012 – 2013
Thời gian làm bài 150 phút không kể giao đề.
Câu 1 (2,5đ)

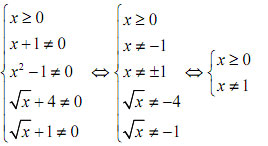
a/ Với giá trị nào của x thì Q xác định.
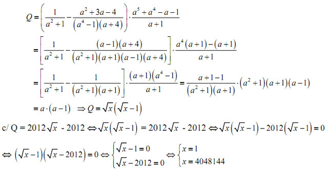
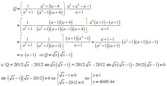
b/ Rút gọn Q.
c/ Tìm giá trị của x để Q = 2012√x - 2012.
Bài làm
a/ Để biểu thức Q xác định, x thỏa mãn điều kiện:

b/ Với x ≥ 0 và x ≠ 1, dùng phương pháp “hữu tỷ hóa” biểu thức Q bằng cách: đặt √x = a ≥ 0 => x = a2; x2 = a4 ta có:

Kết hợp với ĐKXĐ: x ≥ 0 và x ≠ 1 => x = 4048144 là giá trị cần tìm.